| К главной странице 2 части |
Задачи для самостоятельного решения
| Вариант | Условие | Вариант | Условие |
| 1 | ![]() f (x1, x2) = 12 x1 - 2 x2 |
2 | ![]() f (x1, x2) = 11 x1 + 7 x2 |
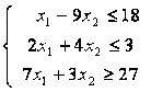
| 3 | ![]() f (x1, x2) = 5 x1 + x2 |
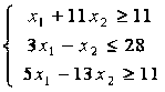
4 | ![]() f (x1, x2) = 6 x1 + 4 x2 |
| 5 | ![]() f (x1, x2) = 9 x1 + 2 x2 |
6 | ![]() f (x1, x2) = 6 x1 - 4 x2 |
| 7 | ![]() f (x1, x2) = 8 x1 + 2 x2 |
8 | ![]() f (x1, x2) = 11 x1 + 7 x2 |
| 9 | ![]() f (x1, x2) = 7 x1 + x2 |
10 | ![]() f (x1, x2) = 2 x1 + 3 x2 |
| 11 | ![]() f (x1, x2) = 7 x1 + 5 x2 |
12 | ![]() f (x1, x2) = 10 x1 - 8 x2 |
| 13 | ![]() f (x1, x2) = 4 x1 - 2 x2 |
14 | ![]() f (x1, x2) = 8 x1 - 6 x2 |
| 15 | ![]() f (x1, x2) = 9 x1 - 7 x2 |
16 | ![]() f (x1, x2) = 5 x1 - x2 |
| 17 | ![]() f (x1, x2) = 4 x1 + 2 x2 |
18 | ![]() f (x1, x2) = 3 x1 + 6 x2 |
| 19 | ![]() f (x1, x2) = 7 x1 + 2 x2 |
20 | ![]() f (x1, x2) = 6 x1 + x2 |
| 21 | ![]() f (x1, x2) = x1 + 7 x2 |
22 | ![]() f (x1, x2) = x1 + 9 x2 |
| 23 | ![]() f (x1, x2) = x1 + 7 x2 |
24 | ![]() f (x1, x2) = 7 x1 + x2 |
| 25 | ![]() f (x1, x2) = 3 x1 + 3 x2 |
26 | ![]() f (x1, x2) = 5 x1 + 2 x2 |
| 27 | ![]() f (x1, x2) = 3 x1 + 3 x2 |
28 | ![]() f (x1, x2) = 2 x1 + 5 x2 |
| 29 | ![]() f (x1, x2) = 2 x1 + 3 x2 |
30 | ![]() f (x1, x2) = 2 x1 + x2 |





























