ПОДБОР РАЦИОНАЛЬНЫХ КОРНЕЙ МНОГОЧЛЕНА С ЦЕЛЫМИ КОЭФФИЦИЕНТАМИ

   Пусть несократимая дробь p/q является корнем уравнения с целыми коэффициентами
а0·хn + а1·хn-1 + ... + аn-1·х + аn = 0 (a0 ≠ 0, an ≠ 0),
т. е. справедливо тождество
                        (27)
или
                        (28)
Отсюда имеем
.
Так как целое число, стоящее в правой части, делится на p, то, следовательно, число anqn также делится на р; но qn не может делиться на р (q и p -взаимно простые!). Следовательно, аn делится на р.
   Из равенства (28) также имеем
- a0·pn = q·(a1·pn-1 + … + an-1·p·qn-2 + an·qn-1.
Рассуждая аналогично, получим, что a0 делится на q.
   Таким образом, рациональные корни уравнения с целыми коэффициентами следует искать лишь среди чисел вида p/q, где р и q - всевозможные делители (как положительные, так и отрицательные!) соответственно свободного члена уравнения и коэффициента при старшей степени. В частности, целые корни следует искать лишь среди делителей свободного члена (q = 1).
   Знание каждого рационального корня уравнения позволяет понизить степень уравнения на единицу.
   В самом деле, если х = p/q - корень уравнения Р(х) = 0, то согласно теореме Безу многочлен Р(х) делится на q·x - р, т. е. Р(x) = (q·x - q)·Q(x), где Q(x)-многочлен степени на единицу меньше, чем Р(х), и нахождение остальных корней уравнения Р(х) = 0 сводится к решению уравнения Q(х) = 0.
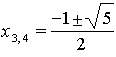
   Пример 1. Решить уравнение 4х4 + 8х3 - Зх2 - 7x + 3 = 0.
   Решение. Подлежат исследованию значения р = ± 1, ± 3 и q = 1, 2, 4 (отрицательные значения q мы отбрасываем, так как если p/q < 0, то можно считать, что р < 0, a q > 0). Беря всевозможные комбинации р и q, находим, что для получения рациональных корней надо опробовать значения ± 1, ± 3 , ± ½, ± ¼, ± 3/2, ± ¾. Подставляя эти числа в уравнение, находим корни x1 = ½, х2 = - 3/2. Следовательно, левая часть уравнения делится на (2х - 1)·(2x + 3) = 4х2 + 4х - 3. Найдя частное, получаем уравнение х2 + х - 1 = 0. Отсюда
.
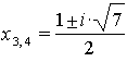
   Пример 2. Решить уравнение x4 + x3 + x2 + 3x + 2 = 0.
   Решение. Если уравнение имеет рациональные корни, то они должны содержаться среди чисел ± 1, ± 2, так как коэффициент при х4 равен единице. Непосредственной проверкой убеждаемся, что годится лишь х1 = - 1. Разделив левую часть на х + 1, получим уравнение х3 + х + 2 = 0. Поступая с этим уравнением, аналогично, находим х2 = - 1. Разделив левую часть на x + 1, получим уравнение х2 - x + 2 = 0, откуда
.