ВОЗВРАТНЫЕ УРАВНЕНИЯ ЧЕТВЕРТОЙ СТЕПЕНИ

   Уравнение четвертой степени
a·x4 + b·x3 + c·x2 + d·x + e = 0                         (20)
называют возвратным, если существует число λ ≠ 0 такое, что коэффициенты уравнения, равноудаленные от концов, удовлетворяют условию
d = λ·b, е = λ2·а                         (21)
или, что то же самое, если b ≠ 0, условию . Например, уравнение 2x4 + Зх3 - 13x2 - 6х + 8 = 0 возвратное, так как , т. е. λ = - 2. С помощью равенств (21) возвратное уравнение (20) можно представить в виде
ах4 + 3 + сх2 + (λb)х + (λ2а) = 0.                        (22)
   Название "возвратное" происходит от следующего свойства такого уравнения.
   Если в возвратном уравнении сделать замену х = λ/y, то относительно нового неизвестного получим прежнее уравнение ("возвратимся" к исходному уравнению).
   Действительно, подставляя в уравнение (22) х = λ/y, получим
После приведения к общему знаменателю и сокращения на λ2, получаем прежнее уравнение
(аλ2) + (bλ)у + 2 + 3 + ау4 = 0.
   Рассмотрим схему решения возвратного уравнения.
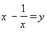
   Так как, очевидно, х = 0 не является корнем уравнения (22), то, разделив это уравнение почленно на х2 и сгруппировав члены, равноудаленные от концов, получим равносильное уравнение
                        (23)
Положим . Тогда имеем
.                        (24)
Следовательно, относительно нового неизвестного у уравнение становится квадратным;
а·(у2 - 2λ) +b·y + c = 0.
   Если yl, у2 - корни этого уравнения, то значения неизвестных x1, х2, х3, х4 найдем из совокупности уравнений
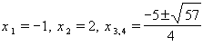
   Пример 1. Решить уравнение 2х4 + Зх3 - 13х2 - 6х + 8 = 0.
    Решение. Это уравнение, как мы уже видели, является возвратным. Разделив на х2 и группируя члены, равноудаленные от концов, получим равносильное уравнение
Полагая , найдем .
   После подстановки получим относительно у уравнение 2y2 + 3y - 5 = 0, откуда y1 = 1, y2 = -5/2. Теперь из уравнений и находим
.
   Частными случаями возвратных уравнений являются уравнения симметрические (λ = 1)
ax4 + bx3 + cx2 - bx + a = 0                        (25)
(коэффициенты членов, равноотстоящих от начала и от конца, одинаковые) и кососимметрические (λ = - 1)
ax4 + bx3 + cx2 + bx + a = 0                        (26)
(коэффициенты членов, равноотстоящих от концов, при четных степенях равны, а при нечетных равны по абсолютной величине и противоположны по знаку).
   Подстановкой для симметрического и для кососимметрического уравнения они сводятся к квадратным уравнениям.
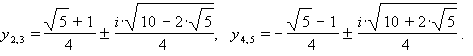
   Пример 2. Решить уравнение y5 ± 1 =0.
   Решение. Имеем y5 - 1 = (y - 1)·(y4 + y3 + y2 + y) = 0. Следовательно, уравнение y5 -1 = 0 равносильно совокупности двух уравнений: а) y - 1 = 0, откуда y1 = 1, и б) y4 + y3 + y2 + y + 1 =0 - симметрическое уравнение. Разделив на y2, получим равносильное уравнение
Полагая , и тем самым
,
получаем z2 - 2 + z + 1 = 0 или z2 + z - 1 = 0, откуда
.
   Для определения у получаем совокупность двух квадратных уравнений:
  и  ,
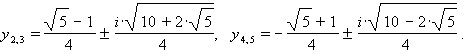
из которых находим
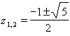
Аналогично уравнение y5 + 1 =0 равносильно совокупности двух уравнений: а) y + 1 = 0, откуда y1 = - 1, и б) y4 - y3 + y2 - y + 1 =0 - симметрическое уравнение.
   Преобразуем его к виду
и полагаем . Тогда мы получим квадратное уравнение z2 - z - 1 = 0, из которого следует, что
.
   Теперь из уравнений
находим