ПЛАНИМЕТРИЯ. ЗАДАЧИ НА ВЫЧИСЛЕНИЕ. ЧАСТЬ 2
- Стороны угла, вершина которого А, пересечены двумя параллельными прямыми BD и СМ, где В и С - точки пересечения этих прямых c одной стороной угла, a D и М – с другой. Найти АВ, если АС + АВ = 14 м и AM : AD = 4 : 3.
О т в е т: 6 м. - На одной стороне угла отложены от его вершины А последовательно отрезки АВ, ВС и СD так, что АВ : BC : CD = 1 : 2 : 3. На другой стороне угла отложен отрезок AM = 5 см. Точки В и М соединены прямой, а из точек С и D проведены до пересечения с другой стороной угла прямые СК || ВМ и DN || ВМ. Найти МК и KN.
О т в е т: МК = 10 см и KN = 15 см. - В трапеции ABCD боковые стороны АВ и CD продолжены до их пересечения в точке F. Найти длину стороны CD, если FB : BA = 8 : 5 и FC − CD = 2,25 м.
О т в е т: CD = 3,75 м. - Сторона ВА треугольника АВС точкой D разделена так, что BD : DA = 5 : 7. Через точку D проведена прямая DF, параллельная АС. Определить длину отрезка DF, если основание треугольника АС= 18 м.
О т в е т: 7,5 м. - Маяк (см. рис. ) высоты 8,7 м закрывается монетой диаметром в 1,8 см, если держать её на расстоянии 51 см
(отсчитанном по направлению х) от глаза. Чему приближённо равно расстояние маяка от глаза?
О т в е т: ≈ 246 м. - На расстоянии l км по горизонтали от А до В дорога однялась на h м. На каком расстоянии по горизонтали от А высота подъёма будет равна h1 (l = 2 км, h = 12 м и h1 = 2,4 м)?
О т в е т:
; х = 400 м. - В треугольнике высота, опущенная на основание, делит его на отрезки 4 м и 8 м; большая из боковых сторон равна 13 м. К основанию из его середины восставлен перпендикуляр. На какие части этот перпендикуляр делит большую боковую сторону?
О т в е т: 9,75 м и 3,25 м. - Основание равнобедренного треугольника равно 4 м и боковая сторона равна 6 м. Прямая, параллельная основанию, отсекает от треугольника трапецию, верхнее основание которой равно сумме её боковых сторон. Найти длину сторон трапеции.
О т в е т: 4 м; 3 м; 1,5 м; 1,5 м. - Боковые стороны трапеции равны 18 см и 12 см. Прямая, проведённая параллельно основаниям трапеции, отсекает от большей боковой стороны, считая от нижнего основания, отрезок, равный 4,5 см. На какие отрезки рассекает проведённая прямая другую боковую сторону?
О т в е т: 3 см и 9 см. - Основания трапеции относятся как 7 : 12. Одна из боковых сторон трапеции равна 3 дм. На какое расстояние следует продолжить эту сторону до пересечения с продолжением другой боковой стороны?
О т в е т: на 4,2 дм.
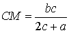
Чтобы найти расстояние от точки А до точки B (см. рис.), из которых В недоступна, выбрали некоторую точку С и измерили расстояние СА; на этой прямой отложили отрезок CA1 определённой длины и провели прямую А1В1 || АВ (при помощи теодолита). Как, измерив длину A1B1 найти расстояние АВ? Произвести вычисление, если СА = 1,8 км, СА1 = 90 м и А1В1 = 150 м.
О т в е т:
; 3 км.- Боковые стороны трапеции продолжены до взаимного пересечения. Определить длину двух сторон треугольника, образованного продолжениями боковых сторон трапеции и её: верхним основанием, если основания трапеции равны 10 см и 15 см, а её боковые стороны 6,25 см и 6,75 см.
О т в е т: 12,5 см и 13,5 см. - Стороны АВ и ВС треугольника ABC продолжены за вершину В и на продолжении AB отложен отрезок BD так, что АВ : BD = 3 : 2. Из точки D проведена прямая, параллельная АС, до пересечения в точке F с продолжением стороны ВС. Найти длину отреэка DF, если АС = 24,6 см.
О т в е т: 16,4 см. - Изображение дерева на задней стенке фотографической камеры получилось равным 32 мм. Найти высоту дерева, если оно находится на расстоянии 29 м от объектива фотоаппарата, а глубина фотокамеры 16 см.
О т в е т: 5,8 м. - Из концов отрезка АВ восставлены к нему перпендикуляры AM и BN в разные стороны, и через точки М и N проведена прямая. На какие отрезки разбивается данный отрезок АВ прямой MN, если АВ = 35 см, AM = 32 см и ВN = 24 см?
О т в е т: 20 см и 15 см. - В треугольнике AВС проведена биссектриса угла В. На какие отрезки эта биссектриса разделит сторону АС, если AС = 56 см, АВ = 45 см и ВС = 60 см?
О т в е т: 24 см и 32 см. - Биссектриса угла В треугольника ABC делит сторону АС на отрезки, равные 28 см и 12 см. Определить периметр треугольника ABC, если AB − ВС = 18 см.
О т в е т: 85 см. - В треугольнике биссектриса угла, заключённого между сторонами в 13,5 см и 9 см, разделила третью сторону на два отрезка, из которых один оказался равным одной из данных сторон треугольника. Найти длину третьей стороны треугольника.
О т в е т: 15 см. - В треугольнике ABC биссектриса угла А делит сторону ВС на части, отношение которых 2 : 3. Найти длину сторон, заключающих угол А, если их сумма равна 38 см.
О т в е т: 15,2 см и 22,8 см. - Угол при вершине В треугольника ABC разделён отрезками BD и ВF на три равные части. Найти AD, DF и FC, если точки D и F лежат на стороне АС
АВ : BD : BF : ВС = 2 : 3 : 4 : 5 и AС = 19 м.
О т в е т: 3 м, 6 м и 10 м. - В треугольник AВС вписан ромб AMNP так, что вершины его лежат соответственно на сторонах АВ, ВС и АС. Определить, на какие отрезки делится сторона ВС точкой N, если АВ = 21 см, ВС= 18 см и АС =15 см.
У к а з а н и е. Диагонали ромба делят углы ромба пополам.
О т в е т: 10,5 см и 7,5 см. - В треугольнике, стороны которого 2 м, 3 м и 4 м, проведена окружность, которая касается двух меньших сторон и центр которой лежит на большей стороне. На какие части сторона в 4 м делится центром этой окружности?
У к а з а н и е. Доказать, что центр окружности находится в данном случае в точке пересечения биссектрисы с большей стороной.
О т в е т: 1,6 м и 2,4 м. - В одном из подобных треугольников стороны относятся, как 2 : 5 : 6. Большая сторона другого треугольника ранца 15 см. Найти стороны второго треугольника.
О т в е т: 5 см и 12,5 см. - В треугольниках ABC и A1B1С1 дано, что Ð А = Ð A1 и Ð С = Ð С1. Сторона ВС = 17,5 см и В1С1 = 7 см. Найти сторону A1B1, если АВ = 12,5 см.
О т в е т: 5 см.
В треугольнике (cм. рис.) со сторонами АС = 12 см и ВС = 16 см проведен отрезок AD, образующий со стороною ВС угол ADC, равный углу ВАС. Найти длину отрезка DC.
О т в е т: DC = 9 см.- В треугольниках АВС и A1B1C1 дано, что Ð B = Ð B1 и AB : A1B1 = 4 : 3. Найти длину сторон треугольника А1B1C1, если АВ = 10 см, ВС = 20 см и АС= 24 см.
О т в е т: А1В1 = 12 см, В1С1 = 15 см и A1С1 = 18 см. - В треугольниках ABC и A1B1C1 дано, что Ð А= Ð А1 и AB : A1B1 = AC : A1С1 = 4 : 5. Найти ВС и B1C1, если их сумма равна 45 см.
О т в е т: ВС =20 см и B1C1 = 25 см - В треугольнике ABC проведена биссектриса угла В, которая пересекает сторону АС в точке D. Из точки D проведены прямые, параллельные сторонам АВ и ВС. Найти
длину сторон образовавшегося четырёхугольника, если АВ = 4,5 дм и ВС = 9 дм.
О т в е т: 3 дм. - В треугольнике AВС проведена прямая MN || АС так, что точка М долит сторону ВА в отношении 2 : 3. Найги длину отрезка MN, если сумма проекций отрезков AM и
CN на сторону AС раина 4,2 дм.
О т в е т: 2,8 дм. - В треугольниках AВС и LMN дано, что Ð А = Ð М и ВA : LM = AC : MN = 5 : 2. Найти ВС и LN, если их разность равна 7,8 см.
О т в е т: ВС= 13 см, LN=5,2 см. - В треугольнике AВС со сторонами АВ = 6 м, ВС = 8 м и AС = 7 м проведена прямая MN || AС так, что АМ = BN.
Определить MN.
О т в е т: 3 м. - В треугольник вписан параллелограмм, угол которого совпадает с углом треугольника. Стороны треугольника, заключающие этот угол, равнвны 4 дм и 6 дм, а соО т в е тственно параллельные им стороны параллелограмма относятся, как 2 : 1. Определить стороны параллелограмма.
О т в е т: 3 дм и 1,5 дм. - В треугольник вписан ромб, угол которого совпадает с углом треугольника. Стороны треугольника, заключающие в этот угол, равны 12 см и 18 см. Определить сторону ромба.
О т в е т: 7,2 см. - В равнобедренном треугольнике боковая сторона равна 6 см. Через середину высоты треугольника проведена прямая, параллельная одной из боковых сторон, до пересечения с двумя другими сторонами. Найти длину проведённой прямой.
О т в е т: 4,5 см. - Основания трапеции 16 см и 12 см. Высота трапеции 8 см. На каком расстоянии от меньшего основания пересекутся продолженные боковые стороны трапеции?
О т в е т: 24 см. - В треугольнике ABC на расстоянии, равном 2 дм от АС, проведена прямая MN || АС. Определить высоту треyгольника, если АВ : MB = 13 : 9.
О т в е т: 6,5 дм. - Длина оснований трапеции а и b. Найти отношение, и котором её диагонали делят друг друга.
О т в е т: а : b. - Через точку пересечения диагоналей трапеции ABCD проведена прямая MN, параллельная основаниям ВС и AD (M и N — точки пересечения этой прямой с боковыми сторонами трапеции). Найти длину отрезка MN, если AD = 12 см и ВС = 8 см.
О т в е т: 9,6 см. - Из точки М гипотенузы прямоугольного треугольника ABC восставлен к гипотенузе АВ перпендикуляр MN (точка N точка пересечения MN с катетом АС). Найти длину отрезка AN, если АВ : АС = 5 : 4 и AM = 10 см.
О т в е т: 12,5 см. - Две прямые пересекаются в точке А. На одной из них по ту и другую сторону от гочки A отложены отрезки АВ и АС, а нa другой AD и AE, причем AВ = 5 дм, АС = 4 дм, AD = 10 см и АЕ = 8 см. Найти отношение BD : CE.
О т в е т: BD : СE = 5 : 4. - На стороне AB треугольника ABC взята точка М так, что АВ : ВМ = 12 : 5. Из точки М проведена прямая MN || АС. Средняя линия трапеции AMNC раина 54,4 см.
Найти длину отрезка MN.
О т в е т: 32 см. - Через точку пересечения диагоналей параллелограмма ABCD проведена прямая, перпендикулярная к стороне параллелограмма ВС, пересекающая сторону ВС в точке М и продолжение CD в точке N. Найти СМ, если CD = a, BC = b и CN = c.
О т в е т:
(Ð A – острый) или
(Ð A – тупой). - Стороны параллелограмма равны 36 см и 30 см. Расстояние между меньшими сторонами равно 19,2 см. Найти расстояние между большиими сторонами.
О т в е т: 16 см. - На стороне AD параллелограмма ABCD взята точка М, так что AM : MD = 4 : 5. Вершина В соединена с точкой М и прямая ВМ продолжена до пересечения в точке N с продолжением стороны CD. На какие части точка М делит отрезок BN, если BN = 36 см?
О т в е т: ВМ = 16 см и MN = 20 см. - Стороны одного четырёхугольника относятся между собой, как 20 : 15 : 9 : 8. В подобном ему четырёхугольнике сумма двух меньших сторон равна 25,5 дм. Найти все стороны второго четырёхугольника.
О т в е т: 30 дм, 22,5 дм, 13,5 дм и 12 дм. - В трапеции, основания которой 16 дм и 2 дм, проведены параллельно основаниям дне прямые, которые делят данную трапецию на гри подобные между собой трапеции. Найти длину отрезков параллельных прямых, заключенных между боковыми сторонами трапеции.
Указание. Исходя из подобия трёх полученных трапеций (многоугольников), составить систему уравнений с двумя неизвестными.
О т в е т: 8 дм и 4 дм. - Сумма двух непараллельных сторон прямоугольника равна р. Длина одной стороны прямоугольника увеличена на а, другой на b так, что вновь полученный прямоугольник подобен данному. Найти стороны данного прямоугольника (p = 76 см, а = 12 см, b = 7 см).
О т в е т:
и
; 48 см и 28 см. - В параллелограмме ABCD сторона АВ равна 4 дм и сторона AD = 8 дм. Прямая MN || АВ отсекает параллелограмм ABMN подобный параллелограмму ABCD. Определить длину отрезка AN.
О т в е т: 2 дм. - Сумма периметров двух подобных многоугольников равна 148 см. Сходственные диагонали этих многоугольником относятся, как 3 : 2. Найти периметры многоугольников.
О т в е т: 87 см и 58 см. - Радиусы двух внешне касающихся окружностей равны 20 см и 12 см. Общая внешняя касательная этих окружностей пересекает линию их центров в точке М. Найти расстояние точки М от центра большей окружности.
О т в е т: 80 см.
Условимся обозначать в прямоугольном треутольнике букиами a и b катеты; с гипотенузу; h – высоту, опушенную из вершины прямого угла; p проекцию катета а и q – катета b на гипотенузу.
Принимая вo внимание обозначения, найти по двум данным влементам прямоугольного треугольника осталъные его элементы. 1) a = 16; b = 12; 2) а = 7, b = 24; 3) а = 5, с = 13; 4) b = 8, с = 10; 5) b = 17, h = 15; 6) с = 122, p = 50; 7) p = 1, q = 9; 8) c = 20, h = 8; 9) а = 3, p = 1,8; 10) h = 18, q = 12.
О т в е т: 1) с = 20, h = 9,6, q = 7,2, p = 12,8; 2) с = 25, h = 6,72, q = 23,04, p =1,96; 3) b = 12, h =
; q =
; p =
; 4) a = 6, h = 4,8, q = 6,4, p = 3,6; 5) a =
; с =
; q = 8, p =
; 6) a = 10√61; b = 12√61; h = 60, q = 72; 7) а = √10, b = 3√10; с = 10, h = 3; 8) а = 4√5; b = 8√5; p = 4, q = 16; 9) b = 4, с = 5, h = 2,4, q = 3,2; 10) а = 9√13; b = 6√13; с = 39, p = 27.- Высота h прямоугольного треугольника делит гипотенузу на отрезки, равные 5 см и 7,2 см. Найти h, а и b (с точностью до 0,1 см).
О т в е т: 6 см, 7,8 см и 9,4 см. - Катет прямоугольного треугольника равен 35 см. Сумма гипотенузы и другого катета равна 49 см. Найти гипотенузу и другой катет.
О т в е т: 37 см и 12 см. - Гипотенуза прямоугольного треугольника 125 мм. Высота h = 33,9 мм. Найти отрезки гипотенузы (с точностью до 0,5 мм).
Отпет: 10 мм и 115 мм. - Гипотенуза прямоугольного треугольника 36 см. Отношение катетов равно 3 : 4. Найти катеты.
О т в е т: 21 см и 28 см. - *Диагонали ромба 12 см и 18 см. Найти его сторону (с точностью до 1 мм).
О т в е т: 10,8 см. - Катет, лежащий против угла в 30°, равен 10 см. Найти периметр треугольника (с точностью до 0,1 см).
О т в е т: 47,3 см. - *Периметр ромба 8 м, одна диагональ ромба 2,4 м. Найти вторую диагональ.
О т в е т: 3,2 м. - Из круглого железа надо выфрезовать квадратную головку со стороной 18 мм. Какого наименьшего диаметра следует взять железо для этой цели? (с точностью до 0,1 мм)?
О т в е т: 25,5 мм. - Биссектриса oстрого угла прямоугольного треугольника делит противолежащий катет на части в 8 см и 10 см. Найти гипотенузу.
О т в е т: 30 см. - В окружность, радиус которой 17 см, вписан прямоугольник. Найти стороны этого прямоугольника, если отношение их равно 15 : 8.
О т в е т: 30 см и 16 см. - Сторона ромба равна 192 мм и один из его угол 120°. Найти высоту ромба (с точностью до 1 мм).
О т в е т: 166 мм. - Гипотенуза прямоугольного треугольника равна 425 мм н один из катетои 340 мм. Найги отрезок гипотенузы, заключенный между точками пересечения с ней высоты h и биссектрисы прямого угла (с точностью до 0,1 мм).
О т в е т: 29,1 мм. - В прямоугольном треугольнике высота h делит гипотенузу на отрезки, разность длины которых равна 3 см. Найти эти отрезки, если высота h = 2 см.
О т в е т: 1 см и 4 см. - В прямоугольной трапеции разность оснований равна 30 см. Наклонная боковая сторона трапеции равна 50 см и большая диагональ – 60 см. Найти основания трапеции (с точностью до 0,1 см).
О т в е т: 44,7 см и 14,7 см. - Периметр равнобедренного треугольника равен 24 дм; боковая сторона меньше основания на 15 см. Найги высоту этого тpeyгольника.
О т в е т: 6 дм. - Bыcoтa равнобедренного треугольника равна 14 дм; основание относится к боковой стороне, как 48 : 25. Найти стороны этого треугольника.
О т в е т. 96 дм и 50 дм. На чертеже дана схема фермы и указаны в метрах размеры некоторых её частей. Найти размеры остальных частей (с гочностыо до 0,01 м).
О т в е т: АВ= 18,50 м, CD = 8,94 м, DР = 4,80 м, PE = 5,02 м, EN = 3,60 м, NF = 4.24 м, FM = 2,40 м, MK = 3,70 м, KL = 1,20 м.
На чертеже дана схема железкой фермы и указаны в метрах раэмеры некоторых её частей. Сколько погонных метров железа пойдёт на устройство этой фермы (с точностью до 0,6 м)?
Указание. На чертеже пунктирная прямая — вспомогательная линия. Начинать решение задачи надо с определения углов треугольников.
О т в е т: 61 м.
- В равностороннем треугольнике сторона больше высоты на 26,8 мм. Найти с точностью до 1 мм длину его стороны.
О т в е т: 200 мм. - В окружность, радиус которой 5 дм, вписан равнободренный треугольник, основание которого удалено от центра нa 1 дм. Найти боковую сторону трёугольника (с точностью до 1 см).
У к а з а н и е. Рассмотреть два возможных случая.
О т в е т: 1) 95 см или 2) 32 см. - В окружность, радиус которой 13 см, вписан прямоугольник. Найти стороны прямоугольника, если периметр его равен 68 см.
О т в е т: 24 см и 10 см. - Радиусы двух пересекающихся окружностей равны 3 дм и 4 дм. Определить расстояние между центрами этих окружностей, если длина их общей хорды равна 43 см.
У к а з а н и е. Рассмотреть два возможных случая расположения окружностей.
О т в е т: 1) 5 дм или 2) 1,4 дм. - В окружности, радиус которой 5 дм, проведены две параллельные хорды, длина которых 8 дм и 6 дм. Найги расстояние между хордами.
У к a з а и и е. Рассмотреть два случая расположения хорд.
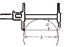
О т в е т: 1) 1 дм или 2) 7 дм. Чтобы измерить диаметр трансмиссионного шкива штангенциркулем, поступили, как показано на рисунке. Длина ножек циркуля равна а мм, расстояние между концами ножек b мм. Найти длину d диаметра шкива при а = 25 мм и b = 218 мм (с точностью до 1 мм).
О т в е т:
, d = 500 мм.
- В окружность, радиус которой 10 см, вписан прямоугольный реугольник, один ия катетов которого вдвое ближе к центру, чем другом. Найти, с точностью до 1 мм, катеты.
О т в е т: 8,9 см и 17,9 см. - Равнобедренный треугольник с основанием в 6 дм описан около окружности, радиус которой равен 2 дм. Найти боковую сторону тpeyгольника.
О т в е т: 7,8 дм. - Около равнобедренной трапеции, основания которой 32 см и 24 см, а высота 28 см, описана окружность. Найти радиус этой окружности.
О т в е т: 20 см. - Центр вписанной в равнобедренный треугольник окружности делит его высоту, начиная от вершины, в отношении 17 : 16. Основание треугольника равно 1 м 20 см.
Найти диаметр окружности.
О т в е т: 30 см. - Стороны треугольника, образующие угол и 120°, соответственно равны 30 см и 50 см. Найти третью сторону.
О т в е т: 70 см. - Стороны греугольника, образующие угол в 60°, соответственно равны 25 см и 40 см. Найти третью сторону.
О т в е т: 35 см. - Стороны треугольника, образующие угол в 45°, соответственно равны 21 см и
см. Найти третью сторону.
О т в е т: 15 см. - Стороны треугольника относятся, как: 1) 4 : 13 : 15, 2) 13 : 14 : 15, 3) 7 : 24 : 25, 4) 13 : 30 : 37, 5) 9 : 40 : 41, 6) 17 : 40 : 41. Найти, какие из этих треугольников остроугольные, прямоугольные и тупоугольные.
О т в е т: 2) и 6) — остроугольные; 3) и 5) — прямоугольные; 1) и 4) — тупоугольные. - Стороны треугольника 45 см, 42 см и 39 см. Найти высоту, опущенную на сторону, длина которой 42 см.
О т в е т: 36 см. (Решение) На рисунке дана схема крана, стойка которого с = 3,5 м, плечо b = 4 м. Наибольший угол между стойкой и плечом 120°. Определить длину а тяги.
О т в е т: 6,5 м.
- Найти третью сторону треугольника, если две другие, образующие угол в 60°, соответственно равны: 1) 20 см и 10 см,
2) 12,5 см и 20 см.
О т в е т: 1) 10√3 см; 2) 17,5 см. - Основания гранении равны 7 дм и 2 дм, а боковые стороны – 6 дм и 5 дм. Найти высоту трапеции.
О т в е т: 4,8 дм. - Диагонали параллелограмма равны 24 см и 28 см, а разность сторон равна 8 см. Найти стороны параллелограмма.
О т в е т: 22 см и 14 см. - Стороны параллелограмма 7 см и 11 см. Найти диагонали, если одна из них больше другой на 2 см.
О т в е т: 14 см и 12 см. - Диагонали параллелограмма соответственно равны l1 и l2, а одна сторона равна a. Найти другую сторону ( l1 = 17 см, l2 = 19 см и а = 10 см ).
О т в е т:
; 15 см. - В окружности проведены две пересекающиеся хорды. Одна на них делится в точке пересечения на части 8 см и 2 см, а другая пополам. Найти длину второй хорды.
О т в е т: 8 см. - В окружности проведены две пересекающиеся хорды. Длина одной ни них 11 см; другая делится в точке пересечения на части 4 см и 6 см. На какие части делится
первая хорда?
О т в е т: 8 см и 3 см. - Перпендикуляр, опущенный из точки окружности на диаметр, делит его на отрезки, разность которых 18 см. Длина перпендикуляра равна 12 см. Найти диаметр.
О т в е т: 30 см. - Из точки вне окружности проведены к ней две секущие, длина которых 360 мм и 300 мм; внешняя часть второй секущей 192 мм. Найти внешнюю часть первой секущей.
О т в е т: 160 мм. - Из точки вне окружности проведены наибольшая секущая и касательная. Найти длину касательной, если длина секущей 5 дм и радиус окружности 2,1 дм.
О т в е т: 2 дм. - К окружности, радиус которой ранен 5 см, из точки, отстоящей от центра на 13 см, проведена секущая, которая делится окружностью пополам. Найти длину этой секущей.
О т в е т: 12√12 ≈ 17,0 см (с точностью до 0,1 см). - Из точки вне окружности проведены секущая и касательная. Секущая в точке пересечения с окружностью делится на два отрезка: внутренний, равный 6 дм, и внешний, равный 2 дм. Найти длину касательной.
О т в е т: 4 дм. В каменном своде (см. рисунок) высота h сегмента равна 0,3 м. Длина АВ пролёта равна 3 м. Найти радиус дуги сегмента.
О т в е т: 3,9 м.
- Из точки вне окружности проведены секущая и касательная. Секущая длиннее своего внешнего отрезка в
раза. Найти отношение внешнего отрезка секущей к касательной.
О т в е т: 3 : 4. - В окружность, радиус которой 1 дм, вписан правильный шестиугольник. На сколько миллиметров длина окружности больше периметра шестиугольника?
О т в е т: На 28 мм. - Дана окружность, радиус которой 20 см. Найти с точностью до 1 мм стороны правильных описанных около этой окружности: треугольника, квадрата и шестиугольника.
У к а з а н и е. Для определения стороны треугольника Соединить точки касания сторон правильного описанного треугольника и использовать свойство средней линии треугольника.
О т в е т: b3 = 40·√3 = 69,3 см; b4 = 40 см; b6 =
= 23,1 см. - Найти (с точностью до 1 мм) радиус окружности, вписанной в квадрат, если радиус описанной около него окружности равен 10 см.
О т в е т: 7,1 см. - Найти строну равностороннего треугольника, если радиус вписанной в него окружности равен r.
О т в е т: 2r√3. - Найти с точностью до 1 см радиусы окружностей, из которые одна вписана в квадрат, а другая описана около него, если сторона квадрата равна 50 см.
О т в е т: 25 см и 35,4 см. Найти, какой размер зева (с точностью до 0,1 мм) должен иметь гаечный ключ для правильной шестиугольной гайки, если длина а её грани равна 18 мм. Величина зазора между гранями гайки и ключа 0,3 мм.
О т в е т: 31,5 мм.- Найти сторону равностороннего треугольника (с точностью до 1 мм), если разность между радиусами описанной около него и вписанной и него окружностями равна 48 мм.
О т в е т: 166 мм. - Радиус окружности r = 2√3. Около этой окружности описан равносторонний треугольник и через центр окружности проведена прямая, параллельная одной из сторон треугольника. Найти третрезок этой прямой, заключённый между двумя
другими сторонами.
О т в е т: 8. В окружность, радиус которой R = 3√3, вписан квадрат, Из одной вершины этого квадрата проведены две корды, каждая из которыя стягивает дугу в 120°. Найти длину отрезка MN диагонали квадрата между этими хордами.
О т в е т: 6.- Общая хорда двух пересекающихся окружностей равна 100 мм. Найти (с точностью до 1 мм) расстояние между центрами этих окружностей, если указанная хорда служит в одной окружности стороной вписанного квадрата, а в другой — стороной правильного вписанного шестиугольника и центры окружностей расположены по разные стороны от хорды.
О т в е т: 137 мм. - точки вне окружности проведены две секущие, соответственно равные 24 дм и 16 дм, Сумма внешних отрезков этих секущих равна 10 дм. Внутренний отрезок большей секущей служит стороной вписанного в окружность квадрата. Найти расстояние (с гочностью до 1 см) меньшей секущей от центра.
О т в е т: 132 см. В сегмент с дугой в 120° пписап прямоугольник , сторона которого, лежащая на хорде, в 4 раза больше другой стороны. Найти стороны прямоугольника, если высота сегмента равна 20 мм.
О т в е т: 12 мм и 48 мм.
Расстояние между центрами двух шкивов одинакового диаметра равно 140 см. Диаметр каждого шкива 20 см. Найти с точностью до 1 см длину ремня, надетого на эти шкивы.
О т в е т: 343 см.На чертеже дана схема ременной передачи вращения шкивов. Найти приближённо, с точностью до 5 см, длину ремня, исходя из размеров, указанных на чертеже в сантиметрах, и считая дуги обхвата ремнём равными полуокружностям.
О т в е т: 625 см.
Диаметр шкиве 400 мм, угол обхвата шкива ремнём равен 244°30'. Найти длину дуги обхвата шкива ремнём c точностью до 1 мм.
О т в е т: 854 мм.
- На сколько сантиметров с точностью до 1 см увеличится окружность, диаметр которой 50 см, если радиус увеличить на 10%?
О т в е т: На 16 см. - Насколько увеличится (в метрах) диаметр окружности, если длину окружности увеличить на 1 м?
О т в е т: На 1/π м ≈ 0,318 м. - Две взаимно перпендикулярные хорды окружности, из которых одна служит стороной вписанного квадрата, а другая - вписанного равностороннего треугольника, делятся точкой пересечения на части так, что стороны греугольника равна
см и большая часть стороны квадрата ( √2 + 1 ) см. Найти с точностью до 0,1 см длину окружности.
О т в е т: 12,6 см. - Найти с точностью до 1 мм длину окружности, если она больше периметра правильного вписанного в неё шестиугольника на 140 мм. (Взять π ≈ 3,1416.)
О т в е т: 3106 мм. - Из двух концентрических окружностей длина внешней окружности равна 8,3 дм, а внутренней 7,6 дм. Найти с точнocтью до 0,1 см ширину кольца.
О т в е т: 1,1 см. - Требуется изготовить чугунную плиту, имеющую форму прямоугольника, площадь которой равнялась бы 5290 см3, а стороны относились бы как 5 : 2. Найти длину и ширину плиты.
О т в е т: 115 см и 46 см. - Найти площадь прямоугольника, одна сторона которого равна 5 дм, а диагональ — 13 дм.
О т в е т: 60 дм2. - Стороны прямоугольника 9 дм и 16 дм. Найти сторону равновеликого ему квадрата.
О т в е т: 12 дм. - Периметр прямоугольника 48 м, а площадь 128 м2. Найти длину сторон этого прямоугольника.
О т в е т: 16 м и 8 м. - Найти периметр квадрата, равновеликого прямоугольнику, измерения которого 63 см и 28 см.
О т в е т: 168 см. - Стороны прямоугольника 16 дм и 12 дм. Какой одинаковой ширины полосу надо срезать вокруг всего прямоугольника, чтобы площадь получившегося нового прямоугольника
была вдвое меньше площади данного?
О т в е т: 2 дм.
Найти площадь чугунной рамы по чертежу. Размеры на чертеже даны в миллиметрах.
О т в е т: 972 см2.- Найти площадь квадрата, вписанного в окружность, радиус которой 15 см.
О т в е т: 450 см2. - Как изменится площадь квадрата, если его сторону: 1) увеличить в 1,5 раза; 2) уменьшить в 2 раза; 3) увеличить в 3 раза; 4) уменьшить в 4 раза?
О т в е т: 1) Увеличится в 2,25 раза; 2) уменьшится в 4 раза; 3) увеличится в 9 раз; 4) уменьшится в 16 раз. - Заводской двор прямоугольной формы имеет размеры 125 м и 72 м. Найти площадь двора в арах.
О т в е т: 90 а. - Токарный станок полжем быть поставлен на кирпичной кладке. Давление на одну иа двух его ножек равно 399 кг. Допускаемое напряжение в кирпичной кладке 7 кг/см2. Поперечное сечение кирпичной кладки имеет форму прямоугольника, одно из измерений которого равно 4,2 см. Найти второе измерение наименьшей площади опоры кирпичной кладки.
О т в е т: 13,5 см. - Площадь параллелограмма равна 144 см, а высоты его равны 8 см и 12 см. Найти периметр параллелограмма.
О т в е т: 60 см. - Меньшая сторона параллелограмма равна 13 см, высота, опущенная на большую сторону — 12 см, меньшая диагональ — 15 см. Найти площадь параллелограмма.
О т в е т: 168 см - Найти площадь (с точностью до 5 см2) параллелограмма, диагонали которого 112 см и 78 см, а меньшая сторона 25 см.
О т в е т: 1680 см2 - Площадь параллелограмма равна 36 дм2, его периметр равен 30 дм, расстояние между большими сторонами 4 дм. Найти расстояние между меньшими сторонами.
О т в е т: 6 дм. - Найти площадь ромба, сторона которого 10 см, а большая диагональ 10 см.
О т в е т: 96 см2. - Площадь ромба 60 см2, одна из его диагоналей 10 см. Найти вторую диагональ ромба.
О т в е т: 12 см. - Площадь ромба 120 см2. Разность диагоналей равна 14 см. Найти сторону ромба.
О т в е т: 13 см. - Высота ромба 36 см, а одна из его диагоналей 45 см. Найти площадь ромба.
О т в е т: 1350 см2. - Как изменится площадь квадрата, если сторону его 1) увеличить на 50%; 2) увеличить на 100%; 3) уменьшить на 50%; 4) уменьшить на 60%?
О т в е т: Увеличится в 2,25 раза; 2) увеличится в 4 раза; 3) уменьшится в 4 раза; 4) уменьшится в 6,25 раза. - Найти площадь треугольника, основание и высота которого соО т в е тственно равны: 1) 47 см и 36 см; 2) 7 дм и 8 дм, 3) 6√5 и 3√5.
О т в е т: 1) 846 см2; 2) 28 дм2; 3) 45. - Найти площадь треугольника по трем данным сторонам: 1) 3,25 м, 3,8 м и 3,78 м; 2) 65 см, 40 см и 87 см
(с точностью до 1 см2).
О т в е т: 1) 5,25 м2; 2) 1225 см2. - Сумма двух сторон треугольника равна 25 см, высоты, опущенные на эти стороны, равны 6 см и 9 см. Найти площадь треугольника.
О т в е т: 45 см2. - Найти площадь треугольника, если две стороны его равны 5 дм и 6 дм и угол между ними 30°.
О т в е т: 7,5 дм2. - Найти с точностью до 1 см2 площадь треугольника, если две стороны его равны 13 дм и 10 дм и угол между ними 120°.
О т в е т: 56,29 дм2. - Найти с точностью до 1 см2 площадь равностороннего треугольника, вписанного в окружность, радиус которой равен 1 дм.
О т в е т: 1,30 дм2. - Найти площадь равностороннего треугольника по данной его высоте h. Вычислить площадь с точностью до 1 дм2 при h = 2 м.
О т в е т:
; 2,31 м2. - Найти площадь прямоугольного треугольника, гипотенуза которого равна 145 мм и один из катетов равен 144 мм.
О т в е т; 1224 мм2. - Найти площадь прямоугольного треугольника, один из катетов которого равен 15 см, а высота, опущенная на гипотенузу, равна 12 см.
О т в е т: 150 см2. - Найти площадь прямоугольного треугольника, если один из его катетов равен 8 см, а радиус вписанной в него окружности 3 см.
О т в е т: 60 см2. - Найти площадь равнобедренного треугольника, если высота, опущенная на его основание, равна 30 см, а высота, опущенная на боковую сторону, раина 36 см.
О т в е т: 675 см2. - Площадь равнобедренного треугольника 192 см2, а боковая сторона 20 см. Найти основание.
О т в е т: 32 см, или 24 см. - Найти площадь равнобедренного прямоугольного треугольника, если длина его гипотенузы с.
О т в е т: 0,25 с2. - Боковая сторона равнобедренной трапеции равна 1 дм, а меньшее основание 16 см. Угол между боковой стороной и ббльшим основанием 60°. Найти площадь трапеции с точностью до 1 см2.
О т в е т: 182 см2. - Площадь трапеции равна 1024 см2, а основания 80 см и 48 см. Найти высоту трапеции.
О т в е т: 16 см. Найти с точностью до 0,5 см2 площадь фигуры по чертежу. Размеры указаны в миллиметрах.
О т в е т: 54,5 см2.
Найти площадь фигуры по чертежу. Размеры указами в сантиметрах.
О т в е т: 2010 см2.
Найти с точностью до 0,5 см2 площадь фигуры по чертежу . Размеры указаны в миллиметрах. 
- Стороны треугольника равны 3 дм, 4 дм и 5 дм. Найти радиусы вписанной и описанной окружностей.
О т в е т: 1 дм и 2,5 дм. - Стороны треугольника равны 29 см, 25 см и 6 см. Найти радиусы вписанной и описанной окружностей (с точностью до 1 мм).
О т в е т: 2,0 см и 18,1 см. - Стороны треугольника равны 210 мм, 170 мм и 100 мм. Найти радиусы вписанной и описанной окружностей (с точностью до 1 мм).
О т в е т: 35 мм и 106 мм. - Боковые стороны трапеции продолжены до их взаимного пересечения. Найти площадь трапеции, если её основания относятся как 5 : 3, и площадь всего образовавшегося
треугольника равна 50 см2.
О т в е т: 32 см2. - На расстоянии 5 см от основания треугольника проведена прямая, параллельная основанию. Найти высоту треугольника, если проведённая прямая разделила площадь треугольника в отношении 1 : 3, считая от вершины.
О т в е т: 10 см. - Как изменится площадь треугольника, если каждую из его сторон: 1) увеличить в 3 раза; 2) увеличить на 100%; 3) уменьшить в 4 раза; 4) уменьшить на 50%?
О т в е т: 1) Увеличится в 9 раз; 2) увеличится в 4 раза; 8) уменьшится в 16 раз; 4) уменьшится и 4 раза. - На каком расстоянии от основания треугольника надо провести прямую, параллельную основанию, чтобы площадь треугольника разделилась в отношении 16 : 9, считая от вершины, если высота треугольника равна 1 дм?
О т в е т: 2 см. - Найти отношение площадей двух треугольников, имеющих по равному углу, заключенному в первом треугольнике между сторонами, равными 18 см и 39 см, а во втором — между сторонами, равными 26 см и 12 см.
О т в е т: 9 : 4. - Сторона треугольника равна 10 см. Найти сторону подобною ему треугольника, площадь которого была бы в четыре рана больше.
О т в е т: 20 см. - Найти в каком отношении делятся боковые стороны треугольника двумя прямыми, параллельными основанию, если площадь треугольника делится этими прямыми в отношении 4 : 21 : 56 (от вершины к основанию).
О т в е т: 2 : 3 : 4. - Боковая сторона треугольника разделена в отношении 5 : 4 : 3 (от основания к вершине); из точек деления проведены прямые, параллельные основанию. В каком отношении разделилась площадь треугольника?
О т в е т: 9 : 40 : 95. - Найти отношение частей площади треугольника, на которые его площадь делится средней линией.
О т в е т: 1 : 3. Найти площадь участка в арах, если план его дан на чертеже в масштабе 1 : 1000. Размеры на чертеже указаны в миллиметрах.
О т в е т: 24 а.
- Найти (с точностью до 1 см2) площадь правильного шестиугольника, сторона которого равна 1 дм.
О т в е т: 260 см2. - Вокруг квадрата, сторона которого равна 10 см, описана окружность, а вокруг окружности описан правильный шестиугольник. Найти площадь шестиугольника (с точностью до 1 см2).
О т в е т: 173 см2. - В правильный треугольник, сторона которого равна с, вписана окружность, в которую вписан правильный шестиугольник. Найти площадь шестиугольника.
О т в е т:
. - Сумма площадей двух подобных многоугольников равна 25 дм2. Соответственные стороны их равны 2 дм и 1,5 дм. Найти площадь каждого многоугольника.
О т в е т: 16 дм2 и 9 дм2. - Сечение железобетонной сваи имеет форму правильного восьмиугольника. Наибольшее расстояние между противоположными вершинами сечения равно 250 мм. Найти площадь сечения (с точностью до 5 см2).
О т в е т: 440 см2. - Расстояние между противоположными гранями железного стержня (поперечное сечение которого — правильный восьмиугольник) 24 мм. Найти площадь поперечного сечения (с точностью до 0,1 см2).
О т в е т: 4,8 см2. - Диаметр поршня 300 мм. Давление пара равно 0,625 кГ/см2. Найти давление пара на поршень.
О т в е т: 441,8 кГ. Найти площадь фигуры (с точностью до 1 см2) по чертежу. Размеры указаны в миллиметрах.
О т в е т: 697 см2.
- Как изменится площадь круга, если: 1) радиус увеличить и 1,5 раза; 2) радиус уменьшить в 2 раза; 3) радиус увеличить на 200%; 4) радиус уменьшить на 75%?
О т в е т: 1) Увеличится в 2,25 раза; 2) уменьшится в 4 раза; 3) увеличится в 9 раз; 4) уменьшится в 16 раз. - Найти площадь кольца, заключённого между окружностями, радиусы которых R и r.
О т в е т: π (R2 - r2) = π (R - r)·(R + r). - *Около правильного треугольника, сторона которого равна а, описана окружность, и в тот же треугольник вписана окружность. Найти площадь кольца, заключённого между
этими окружностями.
О т в е т: πa2/4. - Надо заменить трубу с площадью сечения 78,5 см2 четырьмя трубами одного и того же диаметра так, чтобы площадь сечения четырёх труб меньшего диаметра равнялась
площади сечения трубы большего диаметра (т. е. чтобы пропускная способность четырёх труб меньшего диаметра равнялась пропускной способности одной большего диаметра), Найти диаметр меньших труб.
О т в е т: 5 см. - Из площади круга радиуса 10 см вырезан сектор, дуга которого равна 25°. Найти площадь оставшейся части (c точностью до 1 см 2).
О т в е т: 292 см2. - Найти (с точностью до 0,1 см 2) площадь сегмента, отсекаемого от круга стороной квадрата, вписанного в окружность, радиуса 12 см.
О т в е т: 41,1 см2. - Найти (с точностью до 1 см2) площадь кольца, заключённого между окружностями, если длина хорды большей окружности, касательной к меньшей, равна 16 см.
О т в е т: 201 см2. - Дана окружность радиуса R = 12 см. Найти (с точностью до 1 мм) радиус г концентрической окружности, делящей площадь данного круга пополам.
О т в е т:
. - *Периметр сектора равен 28 см, а его площадь 49 см2. Определить радиус.
О т в е т: 7 см. - Внутри квадрата со стороною 2 дм на каждой его стороне как на диаметре построена полуокружность. Найти с точностью до 1 см2 площадь розетки, ограниченную дугами
полуокружностей.
О т в е т: (π - 2)·2 ≈ 2,28 дм2. - Найти предельную нагрузку, которую может выдержать латунная проволока, если диаметр её поперечного сечения равен 2,5 мм и предельная нагрузка для латуни при растяжении составляет 6,5 т на 1 см2.
О т в е т: Около 320 кг. - Вычислить площадь параллелограмма, смежные стороны которого 11,1 см и 14,9 см и угол, заключённый между ними, 47°10'.
О т в е т: 121 см2. - Диагональ равнобедренной трапеции равна 12,0 см, угол между диагональю и большим основанием 18°. Вычислить площадь трапеции.
О т в е т: 42,3 см2. - Диагонали четырёхугольника равны 10,0 см и 15,0 см, угол между ними 32°30'. Вычислить площадь четырёхугольника.
О т в е т: 40,1 см2. - Вычислить (с точностью до 5 см2) площадь правильного девятиугольника, вписанного в окружность, радиус которой равен 34,6 см.
О т в е т: 3460 см2. - *Вычислить площадь восьмиугольника, описанного около окружности радиуса, равного 15,0 см.
О т в е т: 746 см2.