ВМ
Высшая математика
Главная
Школьная математика
Задачи
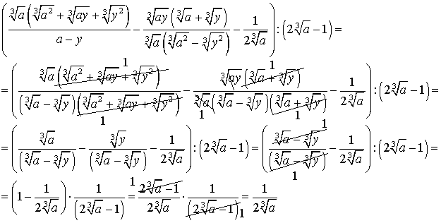
Решение примера
Преобразуем с помощью формул сокращённого умножения