ВВЕРХ
- Дифференциалы высшего порядка.
- Формула Тейлора разложения функции многих переменных.
- Разложение функции многих переменных в пакете MAPLE.
- Экстремум функции многих переменных.
- Необходимое условие экстремума.
- Нахождение точек экстремума и экстремальных значений функции многих переменных в пакете MAPLE.
- Достаточные условия экстремума двух переменных.
- Применение достаточных условий в пакете MAPLE.
- Понятие условного экстремума.
- Метод избыточных координат.
- Пример применения метода избыточных координат.
- Поиск условного экстремума в пакете MAPLE.
- Вопросы для самопроверки.
Дифференциалы высшего порядка
Дифференциал первого порядка функции f (x, y) в точке х = а, у = b при изменении аргументов на Δх = х – а, Δу = у – b имеет вид
.
Дифференциалом второго порядка функции
f (x, y) в точке х = а, у = b при изменении аргументов на Δх = х – а, Δу = у – b определился соотношением, если использовать символическое обозначение

Дифференциал n - го порядка функции f (x, y) в точке х = а, у = b при изменении аргументов на величины Δх = х – а, Δу = у – b имеет вид

Формула Тейлора разложения функции многих переменных
Разложение функции многих переменных по формуле Тейлора можно представить в виде

где
,
.
Разложение функции многих переменных в пакете MAPLE
> restart:readlib(mtaylor):
> mtaylor(sin(x)*cos(y),[x,y],7);

> f :=sin(3*y+x)*cos(2*x-y);

> poisson(f, [x,y], 5);

Экстремум функции многих переменных
Определение. Функция f (M) имеет в точке М0(х0, у0) локальный минимум,
если f (M) > f (M0) для любых точек М
О ε(М0), М ≠ М0.
Определение. Функция f (M) имеет в точке М0(х0, у0) локальный максимум,
если f (M) < f (M0) для любых точек М
Оε(М0), М ≠ М0.
Локальный максимум и локальный минимум называются экстремумами функции многих переменных.
Эти определения можно перефразировать в терминах приращений. Если х = х0 + Δх, у = у0 + Δу, то, как известно, полным приращением функции многих переменных является
Δ f = f (x, y) – f (x0, y0) = f (x0 + Δx, y0 + Δy) – f(x0, y0).
Если Δ f < 0 для всех малых приращений независимых переменных, то f (x, y) достигает локального максимума в точке М0(х0, у0). Если Δf > 0 для всех малых приращений независимых переменных, то f(x, y) достигает локального минимум в точке М0(х0, у0).
Необходимое условие экстремума
Функция z = f ( x, y) может иметь экстремум лишь в тех точках, в которых обе частные производные
обращаются в ноль или перестают существовать.
Действительно, фиксируя попеременно х = х0 или у = у0, получим попеременно функцию одного аргумента, для которой воспользуемся необходимым условием экстремума функции одного переменного.
Эта теорема не является достаточной, но позволяет находить точки, «подозрительные на экстремум».
Нахождение точек экстремума и экстремальных значений функции многих переменных в пакете MAPLE
> restart:z:=(x,y)->x^2+3*y^2+4*x-5*y+2;

> eq1:=diff(z(x,y),x);eq2:=diff(z(x,y),y);


> sis:={eq1=0,eq2=0};

> s:=solve(sis);#Точки экстремума

> extrema(z(x,y),{},{x,y});#Экстремальное значение

Достаточные условия экстремума функции двух переменных
Пусть в некоторой области, содержащей точку М0(х0, у0), функция f (x, y) имеет непрерывные частные производные до второго порядка в точке М0(х0, у0) и некоторой её окрестности. Пусть, кроме того, пусть в этой точке М0(х0, у0) выполняются необходимые условия экстремума функции f (x, y)
(1)
Тогда функция f (x, y) в точке М0(х0, у0) имеет максимум, если
В2– А·С < 0, A < 0;
функция f (x, y) в точке М0(х0, у0) имеет минимум, если
В2– А·С < 0, A > 0;
функция f (x, y) в точке М0(х0, у0) не имеет ни максимума, ни минимума, если
В2– А·С > 0;
функция f (x, y) в точке М0(х0, у0) может иметь, и может не иметь экстремум (в этом случае требуются дополнительные исследования), если
В2– А·С = 0;
где

Доказательство. Представим приращение функции по формуле Тейлора в виде
(2)
где 
Так как для функции f (x, y) в точке М0(х0, у0) выполнены соотношения (1), то (2) можно представить в виде
(3)
Для достаточно малого Δρ знак левой части соотношения (3) будет совпадать с d2 f

где
, Δу ≠ 0 и обозначение sign A означает знак величины А

Знакоопределённость квадратного трёхчлена, а значит определённость знака приращения функции для любых значений λ, имеет место только в одном случае - в случае отрицательного дискриминанта квадратного трехчлена В2 – А С < 0. Если к тому же А < 0, то квадратный трехчлен отрицателен для любых значений λ, значит отрицательно приращение функции, что соответствует случаю локального максимума функции в данной точке.
Применение достаточных условий в пакете MAPLE
> restart:z:=(x,y)->x^2-x*y+y^2+3*x-2*y+1;

> eq1:=diff(z(x,y),x);eq2:=diff(z(x,y),y);


> sis:={eq1=0,eq2=0};

> s:=solve(sis);#Точки экстремума функции

> A1:=diff(z(x,y),x$2);C1:=diff(z(x,y),y$2);B1:=diff(z(x,y),x,y);



> A:=subs(s,A1);C:=subs(s,C1);B:=subs(s,B1);



> B^2-A*C;

> if B^2-A*C=0 then investigation else further fi;

> if B^2-A*C>0 then none elif A>0 then min else max fi;

> extrema(z(x,y),{},{x,y});#Экстремальное значение функции

Понятие условного экстремума
Экстремум функции f (x, y) при дополнительных условиях φ (х, у) = 0 называется условным экстремумом.
Дополнительные условия на координаты иногда называют дополнительными связями.
Метод избыточных координат
Этот метод позволяет уменьшить число уравнений в системе необходимых условий экстремума на число уравнений связей. Кроме того он позволяет не вводить в рассмотрение множители Лагранжа и не исключать переменные. В силу дополнительных условий, переменные Δх и Δу не являются независимыми, а связаны соотношением
(4)
Так как считается, что
, то из соотношения (4) находим
(5)
В точке экстремума дифференциал первого порядка функции должен быть равен нулю, что с учётом (5) можно записать в виде

откуда имеем систему уравнений для нахождения экстремальных точек функции

Знак дифференциала второго порядка d2f при условии (4) в точке экстремума определит, будет ли в этой точке максимум или минимум.
Пример применения метода избыточных координат
Найти размеры прямоугольного параллелепипеда максимального объёма, площадь поверхности которого постоянна.
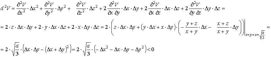
Решение. Обозначим измерения прямоугольного параллелепипеда х, у, z. Задачу можно дать в следующей формулировке: для функции V = x·y·z найти значения х, у, z, удовлетворяющие условию x·y + x·z + y·z = a,
при которых функция V будет наибольшей.
Как видно, эта задача относится к задачам на нахождение условного экстремума. В силу дополнительных условий, переменные Δх, Δу, Δz не являются независимыми, а связаны соотношением (у + z)·Δx + (х + z)·Δy + (х + y)·Δz = 0, из которого найдём
(6)
Дифференциал первого порядка функции, построенный с учетом (6), имеет вид

В точке экстремума этот дифференциал должен быть равен нулю, и так как приращения Δ х и Δ у независимы, то
(7)
Эта система имеет решение
.
Так как дифференциал второго порядка функции отрицателен

для любых приращений аргументов Δх и Δу, то в данной точке функция имеет локальный максимум. Максимальное значение объёма равно

Поиск условного экстремума в пакете MAPLE
> restart:V:=(x,y,z)->x*y*z;

> g:=x*y+x*z+y*z-a;

> dsv:=diff(g,x)*dx+diff(g,y)*dy+diff(g,z)*dz=0;

> dz:=solve(dsv,dz);

> B11:=diff(dz,dx);

> B12:=diff(dz,dy);

> E1:=(f)->diff(f,x)+diff(f,z)*B11:E2:=(f)->diff(f,y)+diff(f,z)*B12:
> eq1:=normal(E1(V(x,y,z)))=0;eq2:=normal(E2(V(x,y,z)))=0;


> sis:={eq1,eq2,g=0};

> s:=solve(sis);

> s1:=allvalues(solve(s[3],{x,y,z}));

> ex:=s1[1];

> subs(ex,V(x,y,z));

> d11:=subs(ex,E1(E1(V(x,y,z)))):d12:=subs(ex,E2(E1(V(x,y,z)))):d21:=subs(ex,E1(E2(V(x,y,z)))):d22:=subs(ex,E2(E2(V(x,y,z)))):
> with(linalg):A:=matrix(2,2,[d11,d12,d21,d22]);

> A[1,1];

> det(A);

Следует отметить, что выполнено условие знакоотрицательности матрицы А в точке экстремума, поэтому точка экстремума есть локальный максимум. Возможности пакета MAPLE позволяют находить условный экстремум непосредственно.
> restart:V:=(x,y,z)->x*y*z;

> g:=x*y+x*z+y*z-a;

> extrema(V(x,y,z),{g},{x,y,z},'s');#Экстремальное значение

> ex1:=allvalues(s);

> ex:=ex1[1][1];

> subs(ex,V(x,y,z));

Вопросы для самопроверки
- Как определяются дифференциалы высших порядков?
- Как выглядит формула Тейлора разложения функции многих переменных?
- Как определяется экстремум функции многих переменных?
- Сформулируйте необходимое условие экстремума функции многих переменных.
- Сформулируйте достаточное условие экстремума функции двух переменных.
- Сформулируйте понятие условного экстремума функции многих переменных?
- Дайте описание метода избыточных координат для нахождения условного экстремума функции многих переменных.