| Тема 13 | К СОДЕРЖАНИЮ |
- Принцип Даламбера для материальной точки.
- Принцип Даламбера для системы материальных точек.
- Общее уравнение динамики. (Принцип Даламбера-Лагранжа).
- Примеры.
Принцип Даламбера для материальной точки
Принцип Даламбера есть условие относительного равновесия для сил в собственной системе отсчёта (смотри рисунок).
Принцип Даламбера для системы материальных точек
, то из (2) и (3) имеем
.
,
Общее уравнение динамики. (Принцип Даламбера-Лагранжа)
, (6)
.
.
.
, и соотношение (6) примет вид
,
,
,
.
Примеры
Р е ш е н и е.
![]() ![]() |
![]() |

| Rx = m·a cos α − m·g sin α; a = g· tg α. |
![]() |
Р е ш е н и е.
![]() ![]() ![]() |
![]() ![]() |
Р е ш е н и е.
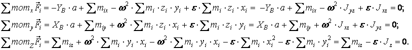
ΣXi = XA + XB + Фτ = 0 (7)
ΣYi = YA + YB + Фц = 0 (8)
ΣZi = ZA - mg = 0 (9)
, (10)
, (11)
.
.
.
П р и м е р 5. Уравновешивание сил инерции.
![]() |
![]() |

П р и м е р 6. Стержень АВ длиной 2 L, на концах которого находятся грузы равного веса Р, вращается равномерно с угловой скоростью ω вокруг вертикальной оси Oz , проходящей через середину О длины стержня. Расстояние точки от подшипника С равно а, от подпятника D равно b. Угол между стержнем АВ и осью Oz сохраняет постоянную величину α. Пренебрегая весом стержня и размерами грузов, определить проекции давлений на подшипник С и подпятник D в тот момент, когда стержень находится в плоскости Oyz .
| xc = yc = 0, Jxz = 0, так как ось Ох ось симметрии. YA + YB = 0. |
![]() |

П р и м е р 7. Стержень АВ длиной 2 L и массы М, вращается равномерно с угловой скоростью ω вокруг вертикальной оси Oz, проходящей через середину О длины стержня. Расстояние точки от подшипника С равно ½h, от подпятника D равно ½h. Угол между стержнем АВ и осью Oz сохраняет постоянную величину α. Определить проекции давлений на подшипник С и подпятник D в тот момент, когда стержень находится в плоскости Oyz.
Р е ш е н и е.
![]() |
![]() |
Р е ш е н и е.
![]() |
![]() |
Р е ш е н и е.
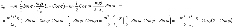
Координаты центра масс в зависимости от угла
.
















