| К теории | Меню |
Теорема об изменении количества движения материальной точки. Теорема об изменении момента количества движения материальной точки
28.1 Железнодорожный поезд движется по горизонтальному и прямолинейному участку пути. При торможении развивается сила сопротивления, равная 6,1 веса поезда. В момент начала торможения скорость поезда равняется 20 м/с. Найти время торможения и тормозной путь.
Ответ: 20,4 с, 204 м.
28.2. По шероховатой наклонной плоскости, составляющей с горизонтом угол α = 30°, спускается тяжелое тело без начальной скорости. Определить, в течение какого времени Т тело пройдет путь длины l = 39,2 м, если коэффициент трения f = 0,2.
Ответ: Т = 5 с.
28.3. Поезд массы 4·105 кг входит на подъем i = tg α = 0,006 (где α — угол подъема) со скоростью 15 м/с. Коэффициент трения (коэффициент суммаркого сопротивления) при движении поезда равен 0,005. Через 50 с после входа поезда на подъем его скорость падает до 12,5 м/с. Найти силу тяги тепловоза.
Ответ: 23 120 Н. Решение.
,
.
28.4. Гирька М привязана к концу нерастяжимой нити МОА, часть которой ОА пропущена через вертикальную трубку; гирька движется вокруг оси трубки по окружности радиуса МС = R, делая 120 об/мин. Медленно втягивая нить ОА в трубку, укорачивают наружную часть нити до длины ОМ1, при которой гирька описывает окружность радиусом R/2. Сколько оборотов в минуту делает гирька по этой окружности?
Ответ: 480 об/мин.Решение.

,ω2 = ω1·4,
n2 = 4 ·n1 = 480 об/мин.
28.5. Для определения массы груженого железнодорожного состава между тепловозами и вагонами установили динамометр. Среднее показание динамоментра за 2 мин оказалось 106 Н. За то же время состав набрал скорость 16 м/с (вначале состав стоял на месте). Найти массу состава, если коэффициент трения μ = 0,02.
Ответ: 3036 т. Решение.
.
28.6. Каков должен быть коэффициент трения f колес заторможенного автомобиля о дорогу, если при скорости езды v = 20 м/с он останавливается через 6 с после начала торможения.
Ответ: f = 0,34. Решение.
.
28.7. Пуля массы 20 г вылетает из ствола винтовки со скоростью v = 650 м/с, пробегая канал ствола за время t = 0,00095 с. Определить среднюю величину давления газов, выбрасывающих пулю, если площадь сечения канала σ = 150 мм2.
Ответ: Среднее давление 9,12·104 Н/мм2. Решение.
.28.8. Точка М движется вокруг неподвижного центра под действием силы притяжения к этому центру. Найти скорость v2 в наиболее удаленной от центра точке траектории, если скорость точки в наиболее близком к нему положении v1 = 30 см/с, а r2 в пять раз больше r1.

.
28.9. Найти импульс равнодействующей всех сил, действующих на снаряд за время, когда снаряд из начального положения О переходит в наивысшее положение М. Дано: v0 = 500 м/с; αо = 60°; v1 = 200 м/с; масса снаряда 100 кг.
Ответ: Проекции импульса равнодействующей: Sx = - 5000 Н·с, Sy = - 43300 Н·с.

,
28.10. Два астероида M1 и М2 описывают один и тот же эллипс, в фокусе которого S находится Солнце. Расстояние между ними настолько мало, что дугу M1М2 эллипса можно считать отрезком прямой. Известно, что длина дуги M1М2 равнялась а, когда середина ее находилась в перигелии Р. Предполагая, что метеориты движутся с разными секториальными скоростями, определить длину дуги M1М2 , когда середина ее будет проходить через афелий А, если известно, что SP = R1 и SA = R2.

Решение.

,
.
28.11. Мальчик массы 40 кг стоит на полозьях спортивных саней, масса которых равна 20 кг, и делает каждую секунду толчок с импульсом 20 Н·с. Найти скорость, приобретаемую санями за 15 с, если коэффициент трения f = 0,01.
Ответ: v = 3,53 м/с. Решение.

28.12. Точка совершает равномерное движение по окружности со скоростью v = 0,2 м/с, делая полный оборот за время Т = 4 с. Найти импульс S сил, действующих на точку, за время одного полупериода, если масса точки m = 5 кг. Определить среднее значение силы F.
Ответ: S = 2 Н·с, F = 1 H. Решение.

28.13. Два математических маятника, подвешенных на нитях длин l1 и l2 (l1 > l2), совершают колебания одинаковой амплитуды. Оба маятника одновременно начали двигаться в одном направлении из своих крайних отклоненных положений. Найти условие, которому должны удовлетворять длины l1 и l2 для того, чтобы маятники по истечении некоторого промежутка времени одновременно вернулись в положение равновесия. Определить наименьший промежуток времени Т.
Ответ: , где k, n — целые числа и дробь k/n несократима; Т = k T2 = n T1. Решение.

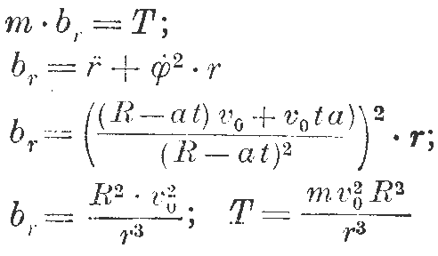
28.14 . Шарик массы m, привязанный к нерастяжимой нити, скользит по гладкой горизонтальной плоскости; другой конец нити втягивают с постоянной скоростью а в отверстие, сделанное на плоскости. Определить движение шарика и натяжение нити Т, если известно, что в начальный момент нить расположена по прямой, расстояние между шариком и отверстием равно R, а проекция начальной скорости шарика на перпендикуляр к направлению нити равна vo.
Ответ: В полярных координатах (если принять отверстие за начало координат и угол φо равным нулю):
Решение.
![]() |
![]() ![]() |
28.15. Определить массу М Солнца, имея следующие данные: радиус Земли R = 6,37·106 м, средняя плотность 5,5 т/м3, большая полуось земной орбиты а = 1,49·1011 м, время обращения Земли вокруг Солнца Т = 365,25 сут. Силу всемирного тяготения между двумя массами, равными 1 кг, на расстоянии
1 м считаем равной
H, где m — масса Земли; из законов Кеплера следует, что сила притяжения Земли Солнцем равна
, где г — расстояние земли от Солнца.
Ответ: М = 1,966·1030 кг.
28.16. Точка массы m, подверженная действию центральной силы F, описывает лемнискату r2 = a cos 2 φ, где а — величина постоянная, r— расстояние точки от силового центра; в начальный .момент r = r0, скорость точки равна v0 и составляет угол α с прямей, соединяющей точку с силовым центром. Определить величину силы F, зная, что она зависит только от расстояния r.
По формуле Бине
,Ответ: Сила притяжения
.
28.17. Точка М, масса которой m, движется около неподвижного центра О под влиянием силы F, исходящей из этого центра и зависящей только от расстояния МО = r. Зная, что скорость точки v = а/r, где а — величина постоянная, найти величину силы F и траекторию точки.
Ответ: Сила притяжения
; траектория — логарифмическая спираль.
Ответ:
, r = 2 e φ.
28.19. Частица М массы 1 кг притягивается к неподвижному центру О силой, обратно пропорциональной, пятой степени расстояния. Эта сила равна 8 Н на расстоянии I м. В начальный момент частица находится на расстоянии ОМ0 = 2 м и имеет скорость, перпендикулярную к ОМ0 и равную 0,5 м/с. Определить траекторию частицы.
Ответ: Окружность радиуса 1 м, центр которой лежит на линии ОМ0 на расстоянии 1 м от центра притяжения.
28.20. Точка массы 0,2 кг, движущаяся под влиянием силы притяжения к неподвижному центру по закону тяготения Ньютона, описывает полный эллипс с полуосями 0,1 м и 0,08 м в течение 50 с. Определить наибольшую и наименьшую величины силы притяжения F при этом движении.
Ответ: F max= 1,97·10-3 Н Н, Fmin = 3,23·10~4 H.
28.21. Математический маятник, каждый размах которого
длится одну секунду, называется секундным маятником и применяется для отсчета времени. Найти длину l этого маятника, считая ускорение силы тяжести равным 981 см/с2. Какое время покажет этот маятник на Луне, где ускорение силы тяжести в 6 раз меньше земного? Какую длину l1 должен иметь секундный
лунный маятник ?
Ответ: l = 99,4 см, Т1 = 2,45 с, h = 16,56 см.
28.22. В некоторой точке Земли секундный маятник отсчитывает время правильно. Будучи перенесен в другое место, он отстает на Т секунд в сутки. Определить ускорение силы тяжести в новом положении секундного маятника.
Ответ:
, где go —ускорение силы тяжести в первоначальном положении маятника.


