| К теории | Меню |
Теорема об изменении кинетической энергии материальной точки
30.1. Тело Е, масса которого равна m, находится на гладкой горизонтальной плоскости. К телу прикреплена пружина жесткости с, второй конец которой прикреплен к шарику O1. Длина недеформированной пружины равна l0; OO1 = l. В начальный момент тело Е отклонено от положения равновесия О на конечную величину ОЕ = а и отпущено без начальной скорости. Определить скорость тела в момент прохождения положения равновесия.

.
30.2. В условиях предыдущей задачи определить скорость тела Е в момент прохождения положения равновесия О, предполагая, что плоскость шероховата и коэффициент трения скольжения равен f.
Ответ: 
30.3. Тело К находится на шероховатой наклонной плоскости в покое. Угол наклона плоскости к горизонту α = 24° и f0 > tg α, где f0 = 0,75 — коэффициент трения покоя. В некоторый момент телу сообщена начальная скорость v0, направленная вдоль плоскости вниз. Определить путь S, пройденный телом до остановки, если коэффициент трения при движении равен f = 0,7.
Ответ:
Решение.
,
,
.
30.4. По наклонной плоскости, составляющей с горизонтом угол 30°, спускается без начальной скорости тяжелое тело; коэффициент трения равен 0,1. Какую скорость будет иметь тело, пройдя 2 м от начала движения?
Ответ: 4,02 м/с. Решение.
| , .
|
30.5. Снаряд массы 24 кг вылетает из ствола орудия со скоростью 500 м/с. Длина ствола орудия 2 м. Каково среднее значение давления газов на снаряд?
Ответ: 1500 кН. Решение.
![]() |
, . |
30.6. Материальная точка массы 3 кг двигалась по горизонтальной прямой влево со скоростью 5 м/с. К точке приложили постоянную силу, направленную вправо. Действие силы прекратилось через 30 с, и тогда скорость точки оказалась равной 55 м/с и направленной вправо. Найти величину этой силы и совершенную ею работу.
Ответ: F = 6 Н, А = 4,5 кДж. Решение.
.
. Работа силы после остановки равна
. Общая работа равна
.
30.7. При подходе к станции поезд идет со скоростью 10 м/с под углон, угол которого α = 0,008 рад. В некоторый момент машинист начинает тормозить поезд. Сопротивление от трения в осях составляет 0,1 от веса поезда. Определить, на каком расстоянии и через какое время от начала торможения поезд остановится. Принять, что sin α = α.
Ответ: 55,3 м, 11,06 с. Решение.

30.8. Поезд массы 200 т идет по горизонтальному участку пути с ускорением 0,2 м/с2. Сопротивление от трения в осях составляет 0,01 веса поезда и считается не зависящим от скорости. Определить мощность, развиваемую тепловозом в момент t = 10 с, если в начальный момент скорость поезда равнялась 18 м/с.
Ответ: 1132 кВт. Решение.

30.9. Брус начинает двигаться с начальной скоростью vо = 4 м/с по горизонтальной шероховатой плоскости и проходит до полной остановки расстояние s = 4 м. Определить коэффициент трения скольжения, считая, что сила трения пропорциональна нормальному давлению.
Ответ:
. Решение.
,
.
30.10. Железнодорожная платформа имеет массу m = 6 т и при движении испытывает сопротивление от трения в осях, равное 0,0025 ее веса. Рабочий уперся в покоящуюся платформу и покатил ее по горизонтальному и прямолинейному участку пути, действуя на нее с силой F0 = 250 Н. Пройдя s = 20 м, он предоставил платформе катиться самой. Вычислить, пренебрегая сопротивлением воздуха и трением колес о рельсы, наибольшую скорость платформы во время движения, а также весь путь s, пройденный ею до остановки.
Ответ: vmax = 0,82 м/с, s = 34 м. Решение.
,
,
,s = 14 м. Общий путь s = 20 + 14 = 34 м/с.
30.11. Гвоздь вбивается в стену, оказывающую сопротивление 700 Н. При каждом ударе молотка гвоздь углубляется в стену на длину l = 0,15 см. Определить массу молотка, если при ударе о шляпку гвоздя он имеет скорость v = 1,25 м/с.
Ответ: 1,344 кг. Решение.
30.12. Упавший на Землю метеорит массы 39 кг углубился в почву на 1,875 м. Вычислено, что почва в месте падения метеорита оказывает проникающему в нее телу сопротивление 5·105 Н. С какой скоростью метеорит достиг поверхности Земли? С какой высоты он должен был упасть без начальной скорости, чтобы у поверхности Земли приобрести указанную скорость? Считаем силу тяжести постоянной и пренебрегаем сопротивлением воздуха.
Ответ: v = 219 м/с, Н = 2453 м. Решение.
.Найдём скорость, которую преобретёт метеорит, падая с высоты Н,
.
30.13. Незаторможенный поезд массы 500 т, двигаясь с выключенным двигателем, испытывает сопротивление R = (7650 + 500 v) Н, где v — скорость в м/с. Зная начальную скорость поезда v0 = 15 м/с, определить, какое расстояние пройдет поезд до остановки.
Ответ: 4,5 км. Решение.
,
,время полной остановки
,
30.14. Главную часть установки для испытания материалов ударом составляет тяжелая стальная отливка М, прикрепленная к стержню, который может вращаться почти без трения вокруг неподвижной горизонтальной оси О. Пренебрегая массой стержня, рассматриваем отливку М как материальную точку, для которой расстояние ОМ = 0,981 м. Определить скорость v этой точки в нижнем положении В, если она падает из верхнего положения А с ничтожно малой начальной скоростью.
Ответ: v = 6,2 м/с.
30.15. Написать выражение потенциальной энергии упругой рессоры, прогибающейся на 1 см от нагрузки в 4 кН, предполагая, что прогиб х возрастает прямо пропорционально нагрузке.
Ответ: П = (20х2 + С) Дж, если х в см.
30.16. Пружина имеет в ненапряженном состоянии длину 20 см. Сила, необходимая для изменения ее длины на 1 см, равна 1,96 Н. С какой скоростью v вылетит из трубки шарик массы 30 г, если пружина была сжата до длины 10 см? Трубка расположена горизонтально.
Ответ: v = 8,08 м/с.

30.17. Статический прогиб балки, загруженной посередине грузом Q, равен 2 мм. Найти наибольший прогиб балки, пренебрегая ее массой, в двух случаях: 1) когда груз Q положен на неизогнутую балку и опущен без начальной скорости; 2) когда груз Q падает на середину неизогнутой балки с высоты 10 см без начальной скорости.
При решении задачи следует иметь в виду, что сила, действующая на груз со стороны балки, пропорциональна ее прогибу.
Ответ: I) 4 мм; 2) 22,1 мм.
30.18. Две ненапряженные пружины АС и ВС, расположенные по горизонтальной прямой Ах, прикреплены шарнирами к неподвижным точкам A и В, а в точке С — к гире массы 2 кг. Пружина АС сжимается на 1 см силой 20 Н, а пружина СВ вытягивается на 1 см силой 40 Н. Расстояние АС = ВС = 10 см. Гире С сообщена скорость vo = 2 м/с в таком направлении, что при последующем движении она проходит через точку D, координаты которой xD = 8 см, yD = 2 см, если за начало координат принять точку A и координатные оси направить, как указано на
рисунке. Определить скорость гири в момент прохождения ее через точку D, лежащую в вертикальной плоскости ху.
Ответ: v = 1,77 м/с.
30.19. Груз М веса Р, подвешенный в точке О на нерастяжимой нити длины l, начинает двигаться в вертикальной плоскости без начальной скорости из точки A; при отсутствии сопротивления груз М достигнет положения С, где его скорость обратиться в нуль. Приняв потенциальную энергию, обусловленную силой тяжести груза М в точке В, равной нулю, построить графики изменений кинетической и потенциальной энергии, а также их суммы в зависимости от угла φ. Массой нити пренебречь.
Ответ: Две синусоиды и прямая, имеющие уравнения
T = P l sin φ, V = P l (1 - sin φ ), T + V = P l.
30.20. Материальная точка массы m совершает гармо нические колебания по прямой Ох под действием упругой восстанавливающей силы по следующему закону: х = a sin(kt+ β). Пренебрегая сопротивлениями, построить графики изменения кинетической энергии Т и потенциальной энергии V движущейся точки в зависимости от координаты x; в начале координат V = 0.
Ответ: Оба графика — параболы, имеющие уравнения
,
.
30.21. Какую вертикальную силу, постоянную по величине и направлению, надо приложить к материальной точке, чтобы при падении точки на Землю с высоты, равной радиусу Земли, эта сила сообщила точке такую же скорость, как сила притяжения к Земле, обратно пропорциональная квадрату расстояния точки до центра Земли?
Ответ: Р/2, где Р — вес точки на поверхности Земли.
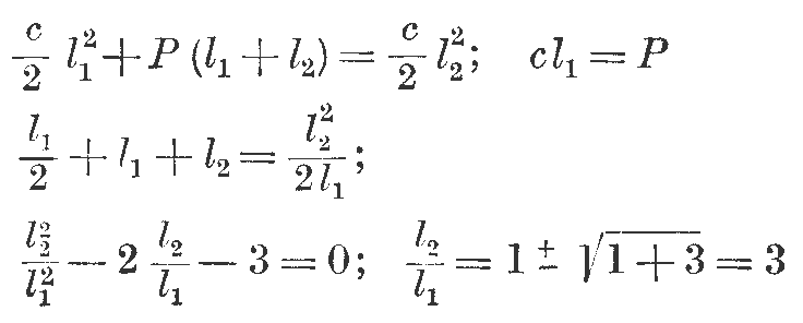
30.22. Горизонтальная пружина, на конце которой прикреплена материальная точка, сжата силой Р и находится в покое. Внезапно сила Р меняет направление на прямо противоположное. Определить, пренебрегая массой пружины, во сколько раз получающееся при этом наибольшее растяжение l2 больше первоначального сжатия l1.
Ответ: l2/l1 = 3. Решение.
![]() |
![]() |
30.23. Тело брошено с поверхности Земли вверх по вертикальной линии с начальной скоростью v0. Определить высоту Н поднятия тела, принимая во внимание, что сила тяжести изменяется обратно пропорционально квадрату расстояния от центра Земли; сопротивлением воздуха пренебречь. Радиус Земли R = 6370 км, Vo = 1 км/с.
Ответ: H = 51,38 км Решение.

30.24. Две частицы заряжены положительным электричеством, заряд первой частицы q1 = 100 Кл, заряд второй частицы q2 = 0,l q1, первая частица остается неподвижной, а вторая движется вследствие силы отталкивания от первой ча¬стицы. Масса второй частицы равна 1 кг, начальное расстояние от первой частицы равно 5 м, а начальная скорость равна нулю. Определить верхний предел для скорости движущейся частицы, принимая во внимание действие только одной силы отталкивания
, где r — расстояние между частицами.
Ответ: 20 м/с. Решение.

30.25. Определить скорость v0, которую нужно сообщить по вертикали вверх телу, находящемуся на поверхности Земли, для того, чтобы оно поднялось на высоту, равную земному радиусу; при этом нужно принять во внимание только силу притяжения Земли, которая изменяется обратно пропорционально квадрату расстояния тела от центра Земли. Радиус Земли равен 6,37·106 м, ускорение силы притяжения на поверхности Земли равно 9,8 м/с2.
Ответ: 7,9 км/с.
30.26. Найти, с какой скоростью v0 нужно выбросить снаряд с поверхности Земли по направлению к Луне, чтобы он достиг точки, где силы притяжения Земли и Луны равны, и остался в этой точке в равновесии. Движением Земли и Луны и сопротивлением воздуха пренебречь. Ускорение силы тяжести у поверхности Земли g = 9,8 м/с2. Отношение массы Луны и Земли m: М = 1 : 80; расстояние между ними d = 60 R, где считаем R = 6000 км (радиус Земли).
Коэффициент f, входящий в формулу для величины силы всемирного тяготения, находим из уравнения
.
, где
,
или vo = 10,75 км/с.
30.27. Грунт утрамбовывается ручной бабой массы 60 кг и с поперечным сечением 12 дм2, которая падает с высоты 1 м. При последнем ударе баба входит в грунт на глубину 1 см, причем сопротивление грунта движению бабы можно считать постоянным. Какую наибольшую нагрузку выдержит грунт, не давая осадки? Допускается, что утрамбованный грунт может выдержать без осадки нагрузку, не превосходящую того сопротивления, которое встречает баба, углубляясь в грунт.
Ответ: 494,9 кПа.
30.28. Шахтный лифт движется вниз со скоростью vo = 12 м/с. Масса лифта 6 т. Какую силу трения между лифтом и стенками шахты должен развить предохранительный парашют, чтобы остановить лифт на протяжении пути s = 10 и, если канат, удерживающий лифт, оборвался? Силу трения считать постоянной.
Ответ:
.
30.29. Кольцо массы 200 г скользит вниз по проволочной дуге, имеющей форму параболы у = х2. Кольцо начало двигаться из точки х = 3 м, у = 9 м с нулевой начальной скоростью. Определить скорость кольца и силу, действующую на кольцо со стороны проволоки, в момент прохождения им нижней точки параболы.
Ответ: v1 = 13,3 м/с, R = 72,5 Н.
30.30. Математический маятник длины / вывели из положения равновесия, сообщив ему начальную скорость vo, направленную по горизонтали. Определить длину дуги, которую он опишет в течение одного периода.
Ответ:
.
,
.

,
.
