| К теории | Меню |
а) Свободные колебания
32.1. Пружина АВ, закрепленная одним концом в точке А, такова, что для удлинения ее на 1 м необходимо приложить в точке В при статической нагрузке силу 19,6 Н. В некоторый момент к нижнему концу В недеформированной пружины подвешивают гирю С массы 0,1 кг и отпускают ее без начальной скорости. Пренебрегая массой пружины, написать уравнение дальнейшего движения гири и указать амплитуду и период ее колебаний, отнеся движение к оси, проведенной вертикально вниз из положения статического равновесия гири.

![]() |
Уравнение движения тела В имеет вид
,
.
.![]() .
|
32.2. При равномерном спуске груза массы М = 2 m со скоростью v = 5 м/с произошла неожиданная задержка верхнего конца троса, на котором опускался груз, из - за защемления троса в обойме блока. Пренебрегая массой троса, определить его наибольшее натяжение при последующих колебаниях груза, если коэффициент жесткости троса 4·106 Н/м.

Ответ: 466,8 кН.
![]() |
;x = A sin ω t + B cos ω t t = 0, x = 0, B = 0; v = A·ω; ; .Закон движения груза x = 0,1118·sin 44,7 t. Сила натяжения троса определится соотношением . . |
32.3. Определить наибольшее натяжение троса в предыдущей задаче, если между грузом и тросом введена упругая пружина с коэффициентом жесткости с1 = 4·105 Н/м. Решение.
Ответ: 154 кН.
;
;
;
Fmax = M g + cэкв A = 2000·9,8 + 0,36·106·0,373 = 1,54·105 Н.
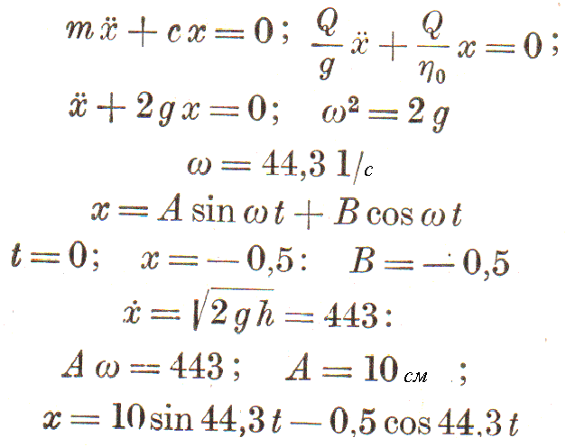
32.4. Груз Q, падая с высоты h = 1 м без начальной скорости, ударяется об упругую горизонтальную балку в ее середине; концы балки закреплены. Написать уравнение дальнейшего движения груза на балке, отнеся движение к оси, проведенной вертикально вниз из положения статического равновесия груза на балке, если статический прогиб балки в ее середине при указанной нагрузке равен 0,5 см; массой балки пренебречь. Решение.
Ответ: х = ( - 0,5 cos 44,3 t + 10 sin 44,3 t ) см.
![]() |
![]() |
32.5. На каждую рессору вагона приходится нагрузка Р Н; под этой нагрузкой рессора при равновесии прогибается на 5 см. Определить период Т собственных колебаний вагона на рессорах. Упругое сопротивление рессоры пропорционально стреле ее прогиба. Решение.
Ответ: Т = 0,45 с.



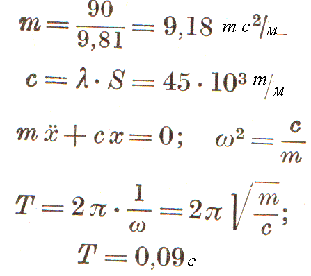
32.6. Определить период свободных колебаний фундамента машины, поставленного на упругий грунт, если масса фундамента с машиной М = 90 т, площадь подошвы фундамента S = 15 м2, коэффициент жесткости грунта с = λS, где λ = 30 Н/см3 - так называемая удельная жесткость грунта. Решение.
Ответ: Т = 0,089 с.
![]() |
![]() |
32.7. Найти период свободных вертикальных колебаний корабля на спокойной воде, если масса корабля М т, площадь его горизонтальной проекции S м2. Плотность воды ρ = 1 т/м3. Силами, обусловленными вязкостью воды, пренебречь. Решение.
Ответ: 
32.8. В условиях предыдущей задачи найти уравнения движения корабля, если он был спущен на воды с нулевой вертикальной скоростью. Ответ:
32.9. Груз, вес которого равен Р Н, подвешен на упругой нити к неподвижной точке. Выведенный из положения равновесия, груз начинает совершать колебания. Выразить длину нити х в функции времени и найти, какому условию должна удовлетворять начальная длина ее х0, чтобы во время движения гири пить оставалась натянутой. Натяжение нити пропорционально удлинению; длина ее в нерастянутом состоянии равна l; от действия статической нагрузки, равной q H, нить удлиняется на 1 см. Начальная скорость груза равна нулю.
Ответ:
32.10. На два вращающихся в противоположные стороны, указанные на рисунке, цилиндрических шкива одинакового радиуса свободно положен однородный стержень; центры шкивов О1 и О2 находятся на горизонтальной прямой О1О2; расстояние О1О2 = 2 l; стержень приводится в движение силами трения, развивающимися в точках касания его со шкивами; эти силы пропорциональны давлению стержня на шкив, причем коэффициент пропорциональности (коэффициент трения) разен f.
1) Определить движение стержня после того, как мы сдвинем его из положения симметрии на х0 при v0 = 0.
2) Найти коэффициент трения f, зная, что период колебаний Т стержня при l = 25 см равен 2 с. Решение.
Ответ: 1) 2).
32.11. К одной и той же пружине подвесили сначала груз веса р, а во второй раз груз веса Зр. Определить, во сколько раз изменятся период колебаний. Зная коэффициент жесткости пружины с, а также начальные условия (грузы подвешивались к концу нерастянутой пружины и отпускались без начальной скорости), найти уравнения движения грузов.
Ответ:
32.12. К пружине жесткости с = 2 кН/м сначала подвесили груз массы 6 кг, а затем заменили его грузом вдвое большей массы. Определить частоты и периоды колебаний грузов.
Ответ: ^1 = 18,26 рад/с, #2=12,9 рад/с, Т\ = = 0,344 с, Г2 = 0,49 с.
32.13. К пружине, коэффициент жесткости которой равен с = 19,6 Н/м, были подвешены два груза с массами m1 = 0,5 кг и m2 = 0,8 кг. Система находилась в покое в положении статического равновесия, когда груз m убрали. Найти уравнение движения, частоту, круговую частоту и период колебаний оставшегося груза.
Ответ: х = 0,4 cos 6,26 t м; f = 1 Гц, k = 2π рад/с, Т = 1 c.
32.14 (32.14). Груз массы m1 = 2 кг, подвешенный к пружине, коэффициент жесткости которой с = = 98 Н/м, находится в равновесии. В некоторый момент к грузу m1, добавили груз m2 = 0,8 кг. Определить уравнение движения и период колебаний двух грузов.
Ответ: х0 = -0,08 cos 5,916/ м, Т = 1,062 с.
32.15(32.15). Груз массы 4 кг подвесили сначала к пружине с жесткостью с1 = 2 кН/м, а затем к пружине с жесткостью с2 = 4 кН/м. Найти отношение частот и отношение периодов колебаний груза в этих двух случаях.
Огвет:
32.16. Тело массы m находится на наклонной плоскости, составляющей угол α с вертикалью. К телу прикреплена пружина, жесткость которой с. Пружина параллельна наклонной плоскости. Найти уравнение движения тела, если в начальный момент оно было прикреплено к концу нерастянутой пружины и ему была сообщена начальная скорость v0, направленная вниз по наклонной плоскости. Начало координат взять в положении статического равновесия. Решение.
Ответ:

32.17. Ha гладкой плоскости, наклоненной к горизонту под углом α находится прикрепленный к пружине груз веса Р. Статическое удлинеяие пружины равно f. Определить колебания груза, если в начальный момент пружина была растянута из ненапряженного состояния на длину, равную 3 f, и груз отпущен без начальной скорости. Решение.
Ответ:

32.18. Тело массы М = 12 кг, прикрепленное к концу пружины, совершает гармонические колебания. При помощи секундомера установлено, что тело совершило 100 полных колебаний за 45 с. После этого к концу пружины добавочно прикрепили груз массы M1 = 6 кг. Определить период колебаний двух грузов на пружине. Ответ:
32.19. В условиях предыдущей задачи найти уравнение движения одного груза М и двух грузов M + M1 если в обоих случаях грузы были подвешены к концу нерастянутой пружины.
Ответ: 1) х = - 5,02 cos 14 tсм, 2) х = - 7,53 cos 11,4 t см, где х и x1 отсчитываются соответственно от каждого из двух положений статического равновесия.
32.20. Груз М, подвешенный к неподвижной точке A на пружине, совершает малые гармонические колебания в вертикальной плоскости, скользя без трения по дуге окружности, диаметр которой АВ равен l; натуральная длина пружины а; жесткость пружины такова, что при действии силы, равной весу груза М, она получает удлинение, равное b. Определить период Т колебаний в том случае, когда l = а + b; массой пружины пренебречь и считать, что при колебаниях она остается растянутой. Решение.
Ответ:
![]() |
32.21. В условиях предыдущей задачи найти уравнение движения груза М, если в начальный момент Ð ВАМ = φо и точке M сообщили начальную скорость vо, направленную по касательной к окружности вниз.
Ответ:
32.22. Тело Е, масса которого равна m, находится на гладкой горизонтальной плоскости. К телу прикреплена пружина жесткости с, второй конец которой прикреплен к шарниру O1. Длина недеформированной пружины равна lо в положении равновесия тела пружина имеет конечный предварительный натяг, равный Fо = c ( l - lо ), где l = ОО1. Учитывая в горизонтальной составляющей упругой силы пружины лишь линейные члены относительно отклонения тела от положения равновесия, определить период малых колебаний тела. Решение.
Ответ:
![]() |
32.23. Материальная точка массы m подвешена к концу нерастянутой пружины с коэффициентом жесткости с и отпущена с начальной скоростью vо, направленной вниз. Найти уравнение движения и период колебаний точки, если в момент времени, когда точка находилась в крайнем нижнем положении, к ней прикладывают силу Q = const, направленную вниз.
Начало координат выбрать в положении статического равновесия, т. е. на расстоянии Р/с от конца нерастянутой пружины, где t отсчитывается от момента времени, когда начала действовать сила Q; Т = .
Ответ:
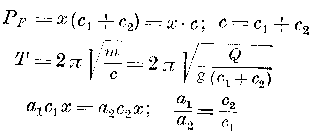
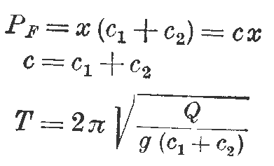
32.24. Определить период свободных колебаний груза массы m, прикрепленного к двум параллельно включенным пружинам, и коэффициент жесткости пружины, эквивалентной данной двойной пружине, если груз расположен так, что удлинения обеих пружин, обладающих заданными коэффициентами жесткости c1 и c2 , одинаковы. Решение.
Ответ: : с = c1 + c2; расположение груза таково, что a1/a2 = c2/c1.


32.25. В условиях предыдущей задачи найти уравнение движения груза, если его подвесили к нерастянутым пружинам и сообщили ему начальную скорость v0, направленную вверх.
Ответ:
32.26 . Определить период свободных колебаний груза массы m, зажатого между двумя пружинами с разными коэффициентами жесткости c1 и c2. Решение.
Ответ:
![]() |
32.27. В условиях предыдущей задачи найти уравнение движения груза, если в положении равновесия ему сообщили скорость v0, направленную вниз.
Ответ:
32.28. Определить коэффициент жесткости с пружины, эквивалентной двойной пружине, состоящей из двух последовательно включенных пружин с разными коэффициентами жесткости c1 и c2, и указать также период колебаний груза массы m, подвешенного на указанной двойной пружине. Решение.
Ответ:
![]() |
32.29. В условиях предыдущей задачи найти уравнение движения груза, если в начальный момент он находился ниже положения равновесия на расстоянии x0 и ему сообщили скорость v0, направленную вверх.
Ответ:
32.30. Определить коэффициент жесткости составной пружины, состоящей из двух последовательно соединенных пружин с разными коэффициентами жесткости c1 = 9,8 Н/см и c2 = 29,4 Н/см. Найти период колебаний, амплитуду и уравнения движения груза массы 5 кг, подвешенного к указанной составной пружине, если в начальный момент груз был смещен из положения статического равновесия на 5 см вниз и ему была сообщена начальная скорость 49 см/с, направленная также вниз.
Ответ: T = 0,517 с, а = 6,43 си, x = 5 cos 12.13 t + 4,04 sin 12,13 t дм.
32.31. Тело А, масса которого равна m, может перемещаться по горизонтальной прямой. К телу прикреплена пружина, коэффициент жесткости которой с. Второй конец пружины укреплен в неподвижной точке В. При угле α = α0 пружина не деформирована. Определить частоту и нериод малых колебаний тела. Решение.
Ответ:

32.32. Точка А, масса которой равна m, прикреплена пружинами, как указано на рисунке. В исходном положении точка находится в равновесии и все пружины не напряжены. Определить коэффициент жесткости эквивалентной пружины при малых колебаниях точки вдоль оси х в абсолютно гладких направляющих и частоту свободных колебаний точки. Решение.
Ответ:

32.33. Определить коэффициент жесткости пружины, эквивалентной трем пружинам, показанным на рисунке, при колебаниях точки М в абсолютно гладких направляющих вдоль
оси х. Решить ту же задачу, если направляющие расположены чдоль оси у. Определить частоты этих колебаний. В исходном положении пружины не напряжены и точка М находится в равновесии. Решение.
Ответ:

32.34. Определить коэффициент жесткости эквивалентной пружины, если груз М массы m прикреплен к стрежню, массой которого можно пренебречь. Стержень шарнирно закреплен в точке О и прикреплен тремя вертикальными пружинами к фундаменту. Коэффициенты жесткости пружин c1, c2, c3. Пру
жины прикреплены к стержню на расстояниях a1, a2, a3 от шириира. Груз М прикреплен к стержню на расстоянии b от шарнира. В положении равновесия стержень горизонтален. Эквивалентная пружина крепится к стержню на расстоянии b от шарнира. Найти частоту малых колебаний груза. Решение.
Ответ:

32.35. Винтовая пружина состоит из n участков, коэффициенты жесткости которых соответственно равны c1, c2,..., cn. Определить коэффициент жесткости с однородной пружины, эквивалентной данной, и период свободных колебаний точки, масса которой равна m.
Ответ:
32.36. Груз массы 10 кг, лежащий на абсолютно гладкой горизонтальной плоскости зажат между двумя пружинами одинаковой жесткости с = 19,6 Н/см. В некоторый момент груз был сдвинут иа 4 см от положения равновесия вправо и отпущен без начальной скорости. Найти уравнение движения, период колебаний, а также максимальную скорость груза. Решение.
Ответ: х = 4 cos 19,8 t см, T = 0,317 с, vmах =79,2 см/с.
![]() |
![]()
|
32.37. Груз Р массы m подвешен к стержню АВ, который соединен двумя пружинами, с коэффицентами жесткости с2 и с3, со стержнем DE. Последний прикреплен к потолку в точке Н пружиной, коэффициент жесткости которой с1. При колебаниях стернши АВ и DE остаются горизонтальными. Определить коэффициент жесткости одной эквивалентной пружины, при которой груз Р будет колебаться с той же частотой. Найти период свободных колебаний груза. Массой стержней пренебречь. Решение.
Oтвет:
![]() |
32.38. Определить собственную частоту колебаний груза Q массы m, подвешенного на конце упругой консоли длины l. Пружина, удерживающая груз, имеет жесткость с. Жссткость на конце консоли определяется формулой c1 = 3Е J/l3 ( E - модуль упругости, J - момент инерции). Массой консоли пренебречь. Решение.
Ответ:
![]() |
32.39. Колебания груза массы М = 10 кг, лежащего на середине упругой балки жесткости с = 20 Н/см, происходят с амплитудой 2 см. Определить величину начальной скорости груза, если в момент времени t = 0 груз находился в положении равновесия.
Ответ: v0 = 28,3 см/с.
32.40. Груз Q массы m закреплен горизонтально натянутым тросом АВ = l. При малых вертикальных колебаниях груза натяжение троса S можно считать постоянным. Определить частоту свободных колебаний груза, если расстояние груза от конца троса А равно α. Решение.
Ответ;
![]() |
32.41. Груз веса 490,5 Н лежит посередине балки АВ. Момент инерции поперечного сечения балки J = 80 см4. Определить длину балки l из условия, чтобы период свободных колебаний груза на балке был равен- Т = 1 с.
Примечание. Статический прогиб балки определяется формулой f = , где модуль упругости Е = 2,05·1011 Н/м2. Решение.
Ответ: l = 15,9 м.
![]() |
32.42. Груз Q массы m зажат между двумя вертикальными пружинами с коэффициентами жесткости c1 и c2. Верхний конец первой пружины закреплен неподвижно, а нижний конец второй пружины прикреплен к середине балки. Определить длину балки l так, чтобы период колебаний груза был равен Т. Момент инерции поперечного сечения балки J, модуль упругости Е. Решение.
Ответ:
![]() |
32.43. Найти уравнение движения и период колебаний груза Q массы m, подвешенного к пружине с коэффициентом жесткости c1, если пружина прикреплена к середине балки длины l. Жесткость балки на изгиб E J. В начальный момент груз находился в положении статического равновесия и ему была сообщена скорость v0, направленная вниз. Решение.
Ответ:
![]() |
32.44 (32.44). Груз веса Q зажат между двумя вертикальными пружинами, коэффициенты жесткости которых равны c1 и c2. Верхний конец первой пружины закреплен неподвижно. Нижний конец второй пружины прикреплен к свободному концу балки, заделанной другим концом в стене. Зная, что свободный конец заделанной балки под действием силы Р, приложенной к свободному концу балки, дает прогиб
, где E J - заданная жесткость балки при изгибе, определить длину балки l, при которой груз будет колебаться с данным периодом Т. Найти уравнение движения груза, если в начальный момент он был подвешен к концам нерастянутых пружин и отпущен без начальной скорости. Решение.
Ответ:
![]() |
32.45. Стержень ОА длины l, на конце которого помещен груз массы m, может поворачиваться вокруг оси О. На расстоянии а от оси О к стержню прикреплена пружина с коэффициентом жесткости с. Определить собственную частоту колебаниЛ груза, если стержень ОА в положении равновесия занимает горизонтальное положение. Массой стержня пренебречь. Решение.
Ответ:
![]() |

,
.
.
.

;
.
.
.
















