| К теории | Меню |
Влияние сопротивления на свободные колебания
32.53. Пластина D массы 100 г, подвешенная па пружине АВ в неподвижной точке А, движется между полюсами магнита. Вследствие вихревых токов движение тормозится силой, пропорциональной скорости. Сила сопротивления движению равна k v Ф2 Н, где k = 0,001, v – скорость в м/с, Ф – магнитный поток междо полюсами N и S. В начальный момент скорость пластинки равна нулю и пружина не растянута. Удлинение ее на 1 м получается при статическом действии силы в 19,6 Н, приложенной в точке В. Определить движение пластинки в том случае, когда Ф = 10· √5 Вб (вебер – единица магнитного потока в СИ).
Ответ: x = —е-2.5 t(0,05 cos 13,77 t + 0,00907 sin 13;77 t) м, где ось х направлена вниз из положения статического равновесия центра тяжести пластинки.
![]() |
;
, . Здесь k > n и движение будет колебательным затухающим. Корни характеристического уравнения будутНачальными условиями в задаче будут ![]() Учитывая начальные условия, получим закон затухающих колебаний пластины |
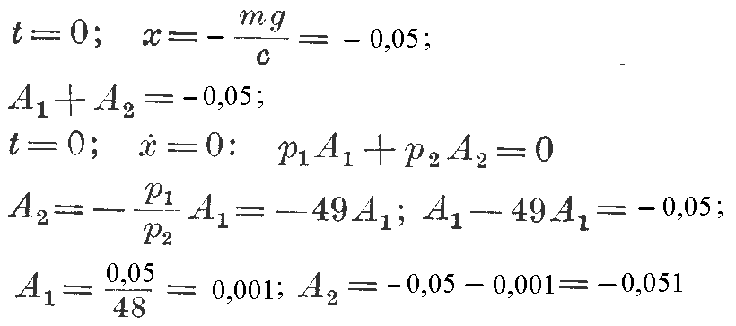
32.54. Определить движение пластинки D при условиях предыдущей задачи в том случае, когда магнитный поток Ф = 100 Вб. Решение.
Ответ: х = - 0,051 e-2t + 0,001 е-98t.

32.55. Цилиндр веса Р, радиуса г и высоты h подвешен на пружине АВ, верхний конец которой В закреплен; цилиндр, погружен в воду. В положении равновесия цилиндр погружается в воду на половину своей высоты. В начальный момент времени ци.линдр был погружен в воду на 2/3 своей высоты и затем без начальной скорости пришел в движение по вертикальной прямой. Считая жесткость пружины равной с и предполагая, что действие воды сводится к добавочной архимедовой силе, определить движение цилиндра относительно положения равновесия. Принять удельный вес воды равным γ.
Ответ:
, где
.
![]() |
, .Собственная частота колебаний цилиндра .Решение уравнения ищем в виде x = A sin ( ω t + φ). Начальными условиями в задаче будут t = 0, x = xo = h/6, Учитывая начальные условия, получим A = h/6, φ = π/2. Получим окончательно ответ ![]() |
32.56. В предыдущей задаче определить колебательное движение цилиндра, если сопротивление воды пропорционально первой степени скорости и равно α v. Решение.
.
,
32.57. Тело А массы 0,5 кг лежит на негладкой горизонтальной плоскости и соединено с неподвижной точкой В пружиной, ось которой ВС горизонтальна. Коэффициент трения плоскости 0,2; пружина такова, что для удлинения ее на 1 см требуется сила 2,45 Н. Тело А отодвинуто от точки В так, что пружина вытянулась на 3 см, и затем отпущено без начальной скорости. Найти: 1) число размахов, которые совершит тело А, 2) величины размахов и 3) продолжительность Т каждого из них.
Тело остановится, когда в положении, где скорость его равна нулю, сила упругости пружины будет равна силе трения или меньше ее.

Ответ: 1) 4 размаха; 2) 5,2 см, 3,6 см, 2 см, 0,4 см; 3) τ = 0,14 с.
![]() |
, , .Так как при t = 0 имеем x( 0) = xo = 0,03 м, .
|
32.58. Груз массы М = 20 кг, лежащий на наклонной негладкой плоскости, прикрепили к нерастянутой пружине и сообщили ему начальную скорость v0 = 0,5 м/с, направленную вниз. Коэффициент трения скольжения f = 0,08, коэффициент жесткости пружины с = 2Q Н/см. Угол, образованный наклонной плоскостью с горизонтом, α = 45°. Определить: 1) период колебаний, 2) число размахов, которые совершит груз, 3) величины размахов.
Ответ: 1) Т = 0,628 с; 2) 9 размахов; 3) 8,54 см, 7,43 см, 6,32 см, 5,21 см, 4,10 см, 2,99 см, 1,88 см, 0,77 см, 0,44 см.
32.59. Тело массы М = 0,5 кг совершает колебания на горизонтальной плоскости под,действием двух одинаковых пружин, прикрепленных к телу одним концом и к неподвижной стойке – другим; оси пружин лежат на одной горизонтальной прямой. Коэффициенты жесткости пружин c1 =c2 = 1,225 Н/см, коэффициент трения при двпжеиии тела f = 0,2, при покос f0 = 0,25. В начальный момент тело было отодвинуто от своего среднего положения О вправо в положение х0 = 3 см и отпущено без начальной скорости. Найти: 1) область возможных равновесных положений тела — «область застоя», 2) величина размахов, тела, 3) число его размахов, 4) продолжительность каждого из них, 5) положение тела после колебаний.
Ответ: 1) - 0,5 см < х < 0,5 см; 2) 5,2 см, 3,6 см, 2 см, 0,4 см; 3) 4 размаха; 4) Т = 0,14 с, 5) х = - 0,2 см.
32.60. Под действием силы сопротивления R, пропорциональной первой степени скорости (R = α v), тело массы m, подвешенное к пружине жесткости с, довершает затухающие колебания. Определить, во сколько раз период затухающих колебаний Т превосходит период незатухающих колебаний То, если отношение n/k = 0,1 (k2 = c/m, n = α/ (2m)).
Ответ: Т ≈ 1,005 T0.
32.61. В условиях предыдущей задачи определить, через сколько полных колебаний амплитуда уменьшится в сто раз.
Ответ: через 7,5 полных колебаний.
32.62. Для определения сопротивления воды движению модели судна при очень малых скоростях модель М пустили плавать в сосуде, привязав нос и корму посредством двух оди¬наковых пружин А и В, силы натяжения которых пропорциональны удлинениям. Результаты наблюдений показали, что отклонения модели от положения равновесия после каждого.размаха уменьшаются, составляя геометрическую прогрессию, знаменатель которой равен 0,9, а продолжительность каждого размаха Т = 0,5 с. Определить силу R сопротивления воды, приходящуюся на каждый килограмм массы модели, при скорости ее равной 1 м/с, предполагая, что сопротивление воды пропорционально первой степени скорости.
Ответ: R = 0,042 Н.
32.63. В условиях предыдущей задачи найти уравнение движения модели, если в начальный момент пружина А была растянута, а пружина В сжата на величину Δ l = 4 см и модель была отпущена без начальной скорости.
Ответ: х = е-0,21 t (4 cos 6,276 t + 0,134 sin 6,276 t) см.
32.64. Для определения вязкости жидкости Кулон употреблял следующий метод: подвесив на пружине тонкую пластинку А, он заставлял ее колебаться сначала в воздухе, а затем в той жидкости, вязкость которой надлежало определить, и находил продолжительность одного размаха: Т1 – в первом случае и Т2 – во втором. Сила трения между пластинкой и жидкостью может быть выражена формулой 2S k v, где 2S – поверхность пластинки, v – ее скорость, k – коэффициент вязкости. Пренебрегая трением между пластинкой и воздухом, определить коэффициент k по найденным из опыта величинам Т1 и Т2, если масса пластинки равна m.

Ответ:
32.65. Тело массы 5 кг подвешено на пружине, коэффициент жесткости которой равен 2 кН/м. Сопротивление среды пропорционально скорости. Амплитуда после четырех колебаний уменьшилась в 12 раз. Определить период и логарифмический декремент колебаний.
Ответ: Т = 0,316 с, λ = nТ/2 = 0,3106. Решение.

32.66. В условиях предыдущей задачи найти уравнение движения тела, если его подвесили к концу нерастянутой пружины и отпустили без начальной скорости.
Ответ: х = е1,97 t ( - 2,45 cos 19,9 t - 0,242 sin 19,9 t) см.
32.67. Тело массы 6 кг, подвешенное на пружине, при отсутствии сопротивления колеблется с периодом Т = 0,4 π с, а если действует сопротивление, пропорциональное первой степени скорости, с периодом Т1 = 0,5π с. Найти коэффициент пропорциональности α в выражении силы сопротивления R = - αv и определить движение тела, если в начальный момент пружина была растянута из положения равновесия на 4 см и тело представлено самому себе.
Ответ: α = 36 H·c/м, х = 5e-3t sin ( 4 t + arctg 4/3 ) см.
32.68. Тело массы 1,96 кг, подвешенное на пружине, которая силой 4,9 Н растягивается на 10 см, при движении встречает сопротивление, пропорциональное первой степени скорости и при скорости 1 м/с равное 19,6 Н. В начальный момент пружина растянута из положения равновесия на 5 см и. тело пришло в движение без начальной скорости. Найти закон этого движения.
Ответ: x = 5e~5t (5 t + 1) см.
32.69. Грузы массы m1 = 2 кг и m2 = 3 кг подвешены в положении статического равновесия к пружине, коэффициент жесткости которой с = 392 Н/м. Масляный демпфер вызывает силу сопротивления, пропорциональную первой степени
скорости и равную R = - αv, где α = 98 H·c/м. Груз m2 сняли. Найти после этого уравнение движения груза m2.
Отпет: х = 8,32 е- 4,4 t - 0,82 е-14,6 t см.
32.70. Статические удлинение пружины под действием груза веса Р равно f. На колеблющийся груз действует сила сопротивления среды, пропорциональная скорости. Определить наименьшее значение коэффициента сопротивления а, при котором процесс движения будет апериодическим. Найти период затухающих колебаний, если коэффициент сопротивления меньше найденного значения.
Ответ:
. При
— движение будет колебательным с периодом
.
32.71. Груз массы 100 г, подвешенный к концу пружины, движется в жидкости. Коэффициент жесткости пружины с = 19,6 Н/м. Сила сопротивления движению пропорциональна первой степени скорости груза: R = αv, где α = 3,5 Н·c/м.
Найти уравнение движения груза, если в начальный момент груз был смещен из положения равновесия на х0 = 1 см и отпущен без начальной скорости.
Ответ: х = 1,32 е-7 t - 0,ЗЗ е-28 t см.
32.72. В условиях предыдущей задачи найти уравнение движения груза и построить график зависимости перемещения от времени, если в начальный момент груз смещен из положения статического равновесия на расстояние x0 = 1 см и ему сообщена начальная скорость 50 см/с в направлении, противоположном смещению.
Ответ: х = - е-7 t + 2 е-28 t см. Решение.
![]() >plot(-exp(-7*t)+2*exp(-28*t),t=0..1,thickness=2); |
32.73. В условиях задачи 32.71 в начальный момент груз смещен , из положения равновесия на расстояние х0 = 5 см и ему сообщена начальная скорость v0 = 100 см/с в том же направлении. Найти уравнение движения груза и построить график зависимости перемещения от времени. Решение.
Ответ: х = 11,4 е-7 t - 6,4 е-28 t см
![]() |
32.74. Составить дифференциальное уравнение малых колебаний тяжелой точки A, находящейся на конце стержня, закрепленного шарнирно в точке О, считая силу сопротивления среды пропорциональной первой 'степени скорости с коэффициентом пропорциональности α, и определить частоту затухаю¬щих колебаний. Вес точки А равен Р, коэффициент жесткости пружины с, длина стержня l, расстояние ОВ = b. Массой стержня пренебречь. В положении равновесия стержень горизонтален. При каком значении коэффициента α движение будет апериодическим?
Ответ:
32.75. При колебаниях груза массы 20 кг, подвешенного на пружине, было замечено, что наибольшее отклонение после 10 полных колебаний уменьшилось вдвое. Груз совершил 10 полных колебаний за 9 с. Как велик коэффициент сопротивления α (при сопротивлении среды, пропорциональном первой степени скорости) и каково значение коэффициента жесткости с?
Ответ: α = 3,08 Н·c/м, с = 974,8 Н/м.
32.76. Составить дифференциальное уравнение малых колебаний точки А и определить частоту затухающих колебаний. Вес точки А равен Р, коэффициент жесткости пружины с, расстояние ОА = b, ОВ = l. Сила сопротивления среды пропорциональна первой степени.скорости, коэффициент пропорциональности равен α. Массой стержня ОВ, шарнирно закрепленного в точке О, пренебречь. В положении равновесия стержень горизонтален. При каком значении коэффициента α движение будет апериодическим?
Ответ: 
32.77. Тело массы 5 кг подвешено к концу пружины жесткости 20 Н/м и помещено в вязкую среду. Период его колебаний в этом случае равен 10 с. Найти постоянную демпфирования, логарифмический декремент колебаний и период свободных колебаний.
Ответ: 19 H·с/м, λ n T/2 = 3,8, T = 3,14 c.

;
,
. Здесь k > n и движение будет колебательным затухающим. Корни характеристического уравнения будут

,
.
.

,
,
.
.
. В этот момент тело примет положение
.
.
.

