| К теории | Меню |
Теорема о движении центра масс материальной системы
35.1. Определить главный вектор внешних сил, действующих на маховик М, вращающийся вокруг оси АВ. Ось АВ, укрепленная в круговой раме, в свою очередь вращается вокруг оси DE. Центр масс С маховика находится в точке пересечения осей АВ и DE.

35.2. Определить главный вектор внешних сил, приложенных к линейке АВ эллипсографа, изображенного на рисунке. Кривошип ОС вращается с постоянной угловой скоростью ω, масса линейки АВ равна М, OC = AC = BC = l.

Ответ: : Главный вектор внешних сил параллелен СО и равен по модулю М l ω2.
35.3. Определить главный вектор внешних сил, действующих на колесо массы М, скатывающееся с наклонной плоскости вниз, если его центр масс С движется по закону xс = at2/2.
Ответ: Главный вектор внешних сил параллелен оси х, направлен в сторону движения и равен по модулю Ма.
35.4. Колесо катится со скольжением по горизонтальной прямой под действием силы F, изображенной на рисунке.
Найти закон движения центра масс С колеса, если коэффициент трения скольжения равен f, a F = 5 f Р, где Р — вес колеса. В начальный момент колесо находилось в покое.
Ответ: хс = 2 f g t2.
35.5. Колесо катится со скольжением по горизонтальной прямой под действием приложенного к нему вращающего момента. Найти закон движения центра масс С колеса, если коэффициент трения скольжения равен f. В начальный момент колесо находилось в покое.
Ответ: хс = f g t2/2
35.6. Вагон трамвая совершает вертикальные гармонические колебания на рессорах амплитуды 2,5 см и периода T = 0,5 с. Масса, кузова с нагрузкой 10 т, масса тележки и колес 1 т. Определить силу давления вагона на рельсы.

,
,35.7. Определить силу давления на грунт насоса для откачки воды при его работе вхолостую, если масса неподвижных частей корпуса D и фундамента E равна М1 и масса кривошипа OA = а равна М2, масса кулисы В и поршня С равна М3. Кривошип ОА, вращающийся равномерно с угловой скоростью ω, считать однородным стержнем.

Ответ:
Решение.


,
.
35.8. Использовав данные предыдущей задачи, считать, что насос установлен на упругом основании, коэффициент упругости которого равен с. Найти закон движения оси О кривошипа ОА по вертикали, если в начальный момент ось О находилась в положении статического равновесия и ей была сообщена по вертикали вниз скорость v0. Взять начало отсчета оси х, направленной вертикально вниз, в положении статического равновесия оси О. Силами сопротивления пренебречь.
Ответ: 1) При
,
, где
,
2) при
. Решение.
,
,
,
,при k ≠ ω закон колебания имеет вид
.Начальные условия: to = 0, x (0) = 0,
. Закон колебания в этом случае
.2. В случае резонанса имеем
. Общее решение имеет вид
. С учётом начальных условий окончательно получим
.
35.9. Ножницы для резки металла состоят из кривошипного ползунного механизма ОАВ, к ползуну В которого прикреплен подвижный нож. Неподвижный нож укреплен на фундаменте С. Определить давление фундамента на грунт, если длина кривошипа r, масса кривошипа M1, длина шатуна l, масса ползуна В с подвижным ножом М2, масса фундамента С и корпуса, D равна М3. Массой шатуна пренебречь. Кривошип ОА, равномерно вращающийся , с угловой скоростью ω, считать однородным стержнем.
Ответ: следует разложить в ряд
и отбросить все члены ряда, содержащие отношение r/l в степени выше второй.
Ответ:
Решение.

,
,
35.10. Электрический мотор массы М1 установлен без креплений на гладком горизонтальном фундаменте; на валу мотора под прямым углом закреплен одним концом однородный стержень длины 2 l и массы М2, на другой конец стержня насажен точечный груз массы М3; угловая скорость вала равна ω. Определить:
1) горизонтальное движение мотора;
2) наибольшее горизонтальное усилие R, действующее на болты, если ими будет закреплен кожух электромотора на фундаменте.
Ответ: 1) Гармонические колебания с амплитудой
и периодом 2 π/ω;
2) R = (M2 + 2 M3 ) l ω2.
35.11. По условиям предыдущей задачи вычислить ту угловую скорость ω вала электромотора, при которой электромотор будет подпрыгивать над фундаментом, не будучи к нему прикреплен болтами.
Ответ:
.
35.12. При сборке электромотора его ротор В был эксцентрично насажен на ось вращения С1 на расстоянии С1C2
= а, где С1 – центр масс статора A, а С2 – центр масс ротора B. Ротор равномерно вращается с угловой скоростью ω. Электромотор установлен посередине упругой балки, статический прогиб которой равен Δ; M1– масса статора, М2– масса ротора. Найти уравнение движения точки С1 по вертикали, если в начальный момент она находилась в покое в положении статического равновесия. Силами сопротивления пренебречь. Начало отсчета оси х взять в положении статического равновесия
точки С1 .
Ответ: 1) При
, где
,
; 2) при 
.
35 13. Электрический мотор массы M1
установлен на балке жесткость которой равна с. На вал мотора насажен груз массы М2 на расстоянии l от оси вала. Угловая скорость мотора ω = const. Определить амплитуду вынужденных колебании мотора и критическое число его оборотов в минуту, пренебрегая массой балки и сопротивлением движению.
Ответ:
, 
35.14. На рисунке изображена крановая тележка A массы M1, которая заторможена посередине балки BD. В центре масс С1 тележки подвешен трос длины l с привязанным к нему грузом С и массы М2. Трос с грузом совершает гармонические колебания в вертикальной плоскости. Определить:
1) суммарную вертикальную реакцию балки BD, считая ее жесткой;
2) закон движения точки С в вертикальном направлении, считая балку упругой с коэффициентом упругости, равным с. В начальный момент балка, будучи недеформированной, находилась в покое в горизонтальном положении. Считая колебания троса малыми, принять: sin φ ≈ φ, cos φ ≈ 1. Начало отсчета оси у взять в положении статического равновесия точки С1. Массой троса и размерами тележки по сравнению с длиной балки пренебречь.
Ответ: 1) Ry = (M1 + M2) g; 2) точка C1 совершает свободные колебания по закону
.
35.15. Сохранив данные предыдущей задачи и считая балку BD жесткой, определить:
1) суммарную горизонтальную реакцию рельсов;
2) в предположении, что тележка не заторможена, закон движения центра масс С1 тележки А вдоль оси х.
В начальный момент точка С1 находилась в покое в начале отсчета оси х. Трос совершает колебания по закону φ = φ0 cos ω t.
Ответ: 1) Rx = —М2 l φ0ω2 cos ω t;
2) точка С1 совершает колебания с амплитудой
и круговой частотой и по закону
.
35.16.
Ответ: Влево на корму лодки на расстояние 1,43 м/
35.17. На однородную призму A, лежащую на горизонтальной плоскости, положена однородная призма В; поперечные сечения призм – прямоугольные треугольники, масса призмы А втрое больше массы призмы В. Предполагая, что призмы и горизонтальная плоскость идеально гладкие, определить длину l, на которую передвинется призма А, когда призма В, спускаясь по А, дойдет до горизонтальной плоскости.
Ответ:
Решение.
![]() |
![]() |
35.18. По горизонтальной товарной платформе длины 6 м и массы 2700 кг, находившейся в. начальный момент в покое,
двое рабочих перекатывают тяжелую отливку из левого конца
платформы в правый. В какую сторону и насколько переместится при этом платформа, если общая масса груза и рабочих
равна 1800 кг? Силами сопротивления движению платформы
пренебречь.
Ответ: Налево на 2,4 м.
35.19. Два груза M1 и М2, соответственно массы M1 и М2, соединенные нерастяжимой нитью, переброшенной через блок A, скользят по гладким боковым сторонам прямоугольного клина, опирающегося основанием ВС на гладкую горизонтальную плоскость. Найти перемещение клина по горизонтальной плоскости при опускании груза M1 на высоту h = 10 см. Масса клина М = 4, M1 = 16 М2 ; массой нити и блока пренебречь.
Ответ: Клин переместится вправо на 3,77 см. Решение.
![]() |
![]() |
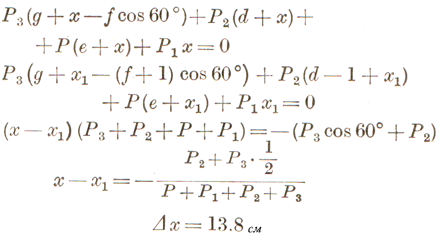
35.20. Три груза массы M1 = 20 кг, M2 = 15 кг и M3 =10 кг соединены нерастяжимой нитью, переброшенной через неподвижные блоки L и N. При опускании груза М1 вниз груз М2 перемещается по верхнему основанию четырехугольной усеченной пирамиды ABCD массы М = 100 кг вправо, а груз М3 поднимается по боковой грани АВ вверх. Пренебрегая трением между усеченной пирамидой ABCD и полом, определить перемещение усеченной пирамиды ABCD относительно пола, если груз M1 опустится вниз на 1 м. Массой нити пренебречь.
Ответ: В лево на 14 см. Решение.
![]() |
![]() |
35.21. Подвижной поворотный кран для ремонта уличной электросети установлен на автомашине массы 1 т. Люлька К крана, укрепленная на стержне L, может поворачиваться вокруг горизонтальной оси О, перпендикулярной плоскости рисунка. В начальный момент кран, занимавший горизонтальное положение, и автомашина находились в покое. Определить перемещение незаторможенной автомашины, если кран повернулся на 60°. Масса однородного стержня L длины 3 м равна 100 кг, а люльки К – 200 кг. Центр масс С люльки К отстоит от оси О на расстоянии ОС = 3,5 м. Сопротивлением движению пренебречь.
Ответ: Направо на 32,7 см.





