ВВЕРХ
Давление вращающегося твердого тела на ось вращения
Таблица моментов инерции
42.1. Центр масс махового колеса массы 3000 кг находится на расстоянии 1 мм от горизонтальной оси вала; расстояния подшипников от колеса равны между собой. Найти силы давления на подшипники, когда вал делает 1200 об/мин. Маховик имеет плоскость симметрии, перпендикулярную оси вращения.
Ответ: Сила давления на каждый из подшипников есть равнодействующая двух сил, из которых одна равна 14,7 кН н направлена по вертикали, а другая равна 23,6 кН и направлена параллельно прямой, соединяющей геометрический центр колеса, находящийся на оси вала, с центром масс колеса. Решение.
42.2. Однородный круглый диск массы М равномерно вращается с угловой скоростью ω вокруг неподвижной оси, расположенной в плоскости диска и отстоящей от его центра масс С на расстоянии ОС = а. Определить силы динамического давления оси на подпятник A и подшипник В, если 0B = 0А. Оси х и у неизменно связаны с диском.
Ответ: ХA = Хв = 0, YA = Yв = М а ω2/2. |
 |
42.3. Решить предыдущую задачу в предположении, что при наличии сил сопротивления угловая скорость диска убывает по закону ω = ω0 − ε0 t, где ω0 и ε0 — положительные постоянные.
Ответ : ХA = Хв = 2;·M r ε (ε t2 + 1), YA = Yв = 2;·M r ε (ε t2 - 1)
| 42.4. К вертикальной оси АВ, вращающейся равноускоренно с угловым ускорением ε, прикреплены два груза С и D посредством двух перпендикулярных оси АВ и притом взаимно перпендикулярных стержней ОС = OD = r. Определить силы динамического давления оси АВ на подпятник А и подшипник В. Грузы С и D считать материальными точками массы М каждый. Массами стержней пренебречь. В начальный момент система находллась в покое. Оси х и у неизменно связаны со стержнями. |
 |
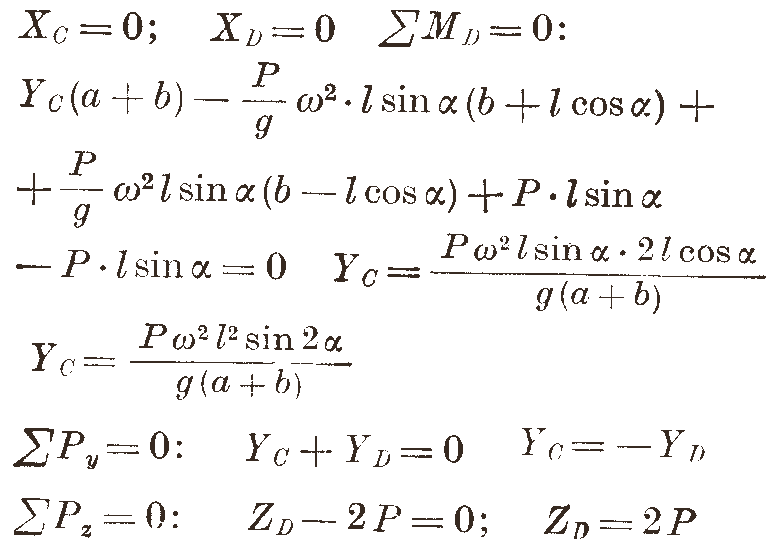
42.5. Стержень АВ длины 2 l, на концах которого находятся грузы равной массы М, вращается равномерно с угловой скоростью ω вокруг вертикальной оси Оz, проходящей через середину О длины стержня. Расстояние точки О от подшипника С равно а, от подпятника D равно b. Угол между стержнем АВ и осью Оz сохраняет постоянную величину α. Пренебрегая массой стержня и размерами грузов, определить проекции сил давления на подшипник С и подпятник D в тот момент, когда стержень находится в плоскости Oyz.
Ответ:
Xc = XD = 0, , ZD = - 2 M g . Решение. |
 |
 |
 |
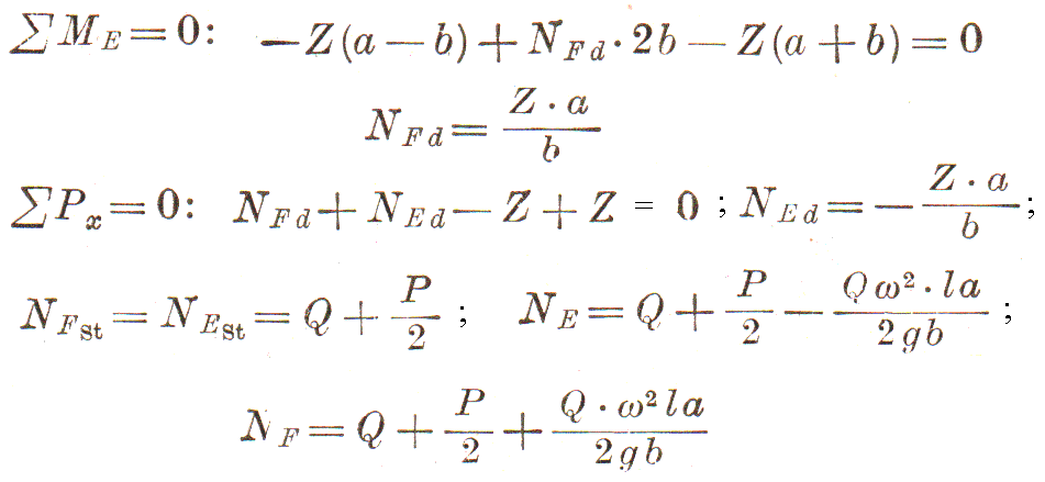
| 42.6. На концы оси АВ надеты два одинаковых кривошипа АС и BD длины l и массы М1 каждый, заклиненные под углом 180° относительно друг друга. Ось АВ длины 2а и массы М2 вращается с постоянной угловой скоростью ω в подшипниках Е и F, расположенных симметрично на расстоянии 2b друг от друга. Определить силы давления NE и NF на подшипники в тот момент, когда кривошип АС направлен вертикально вверх. Массу каждого кривошипа считать равномерно распределенной вдоль его оси. Решение. |
 |
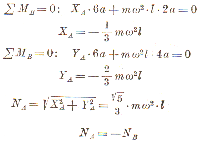
| 42.7. К горизонтальному валу АВ, вращающемуся с постоянной угловой скоростью ω, прикреплены два равных, перпендикулярных ему стержня длины l, лежащих во взаимно перпендикулярных плоскостях (см. рисунок). На концах стержней расположены шары D и Е массы m каждый. Определять силы динамического давления вала на опоры А и В. Шары считать материальными точками; массами стержней пренебречь. Решение. |
 |
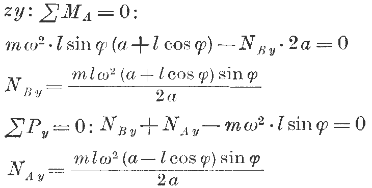
| 42.8. К вертикальному валу АВ, вращающемуся с постоянной угловой скоростью ω, жестко прикреплены два стержня.
Стержень ОЕ образует с валом угол φ, стержень OD перпендикулярен плоскости, содержащей вал АВ и стержень ОЕ. Даны размеры: OE = OD = l, АВ = 2а. К концам стержней прикреплены два шара Е и D массы m каждый. Определить силы динамического давления вала на опоры А и В. Шары D и Е считать точечными массами; массами стержней пренебречь. Решение. |
 |




42.9. Использовав условие задачи 34.1, определить силы динамического давления коленчатого вала на подшипники К и L. Вал вращается равномерно с угловой скоростью ω. При решении можно воспользоваться ответами к задачам 34.1 и 34.23.
| 42.10. Однородный стержень KL, прикрепленный в центре под углом α к вертикальной оси АВ, вращается равноускоренно вокруг этой оси с угловым ускорением ε. Определить силы динамического давления оси АВ на подпятник А и подшипник В, если: М – масса стержня, 2l – его длина, ОA = ОВ = h/2; ОK = l. В начальный момент система находилась в покое. |
 |
| 42.11. Однородная прямоугольная пластинка OABD массы М со сторонами а и b, прикрепленная стороной ОА к валу ОЕ, вращается с постоянной угловой скоростью ω, Расстояние между опорами OE = 2а. Вычислить боковые силы динамического давления вала на опоры О и Е. |
 |
42.12. Прямой однородный круглый цилиндр массы М, длины 2l и радиуса r вращается с постоянной угловой скоростью ω вокруг вертикальной оси Оz, проходящей через центр масс О цилиндра; угол между осью цилиндра 0ζ и осью Оz сохраняет при этом постоянную величину α. Расстояние H1H2 между подпятником и подшипником равно h. Определить боковые силы давления: N1 на подпятник и N2 на подшипник.
Ответ: Давления N1 и N2 имеют одинаковую величину
и противоположны по направлению. Решение. |
 |
Матрица направляющих косинусов для данного примера имеет вид
.
Осевые моменты инерции цилиндра с радиусом основания r и высоты 2 l равны
. Центробежный момент инерции для рассматриваемой задачи будет равен
.
Далее смотри уравнения динамического равновесия.
42.13. Вычислить силы давления в подшипниках А и В при вращении вокруг оси АВ однородного тонкого круглого диска CD паровой турбины, предполагая, что ось АВ проходит через центр О диска, но вследствие неправильного рассверливания втулки составляет с перпендикуляром к плоскости диска угол АОЕ = α = 0,02 рад. Дано: масса диска 3,27 кг, радиус его 20 см, угловая скорость соответствует 30000 об/мин, расстояние АО = 50 см, OB = 30 см; ось АВ считать абсолютно твердой и принять sin 2α = 2α.
Ответ: Силы давления от веса диска: 12,1 Н на подшипник A и 20,0 Н на подшипник В; силы давления на подшипники, вызываемые вращением диска, имеют одинаковую величину 8,06 кН и противоположные направления. |
 |
| 42.14. В результате неточной сборки круглого диска паровой турбины плоскость диска образует с осью АВ угол α, а центр масс С диска не лежит на этой оси. Эксцентриситет ОС = а. Найта боковые силы динамического давления на подшипники A и В, если масса диска равна M, радиус его R, а АО = ОВ = h; угловая скорость вращения диска постоянна и равна ω. |
 |
| 42.15. Однородный круглый диск массы М и радиуса R насажен на ось АВ, проходящую через точку О диска и составляющую с его осью симметрии Cz1 угол α.OL – проекция оси z, совмещённой с осью АВ, на плоскость диска, причём ОЕ = a, ОК = b. Вычислить боковые силы динамического давления на подшипники А и В, если диск вращается с постоянной угловой скоростью ω, а АО = ОВ = h. |
 |
| 42.16. Однородная прямоугольная пластинка массы М равномерно вращается вокруг своей диагонали АВ с угловой скоростью ω. Определить силы динамического давления пластинки на опоры А и В, если длины сторон равны а и b. |
 |
| 42.17. С какой угловой скоростью должна вращаться вокруг катета АВ = а однородная пластинка, имеющая форму равнобедренного прямоугольного треугольника ABD, чтобы сила бокового давления на нижнюю опору В равнялась нулю? Расстояние между опорами считать равным длине катета АВ. |
 |
42.18. Вращающаяся часть подъемного крана состоит из стрелы CD длины L и массы М1, противовеса Е и груза К массы М2 каждый. (См. рисунок к задаче 34.31.) При включении постоянного тормозящего момента кран, вращаясь до этого с угловой скоростью, соответствующей n = 1,5 об/мин, останавливается через 2 с.
Рассматривая стрелу как однородную тонкую балку, а противовес с грузом как точечные массы, определить динамические реакции опор A и В крана в конце его торможения. Расстояние между опорами крана АВ = 3 м, М2 = 5 т, М1 = 8 т, α = 45°, L = 30 м, l = 10 м, центр масс всей системы находится на оси вращения; отклонением груза от плоскости крана пренебречь. Оси х, у связаны с краном. Стрела CD находится в плоскости yz.