ВВЕРХ
Общее уравнение динамики
47.1. Три груза массы М каждый соединены нерастяжимой нитью, переброшенной через неподвижный блок А. Два груза лежат на гладкой горизонтальной плоскости, а третий груз подвешен вертикально. Определить ускорение системы и натяжение нити в сечении ab. Массой нити и блока пренебречь.
Ответ: w = 1/3·g, T = 1/3·M g. Решение. |
 |
Mg·δx −Mw·δx −Mw·δx −Mw·δx = 0,
w = g/3. T·δx −Mw·δx = 0,
T = Mg/3
47.2. Решить предыдущую задачу с учетом массы блока, считая, что при движении грузов блок А вращается вокруг неподвижной оси. Масса блока, сплошного однородного диска, равна 2М.Ответ: Решение.
47.3. Два груза массы M1 и М2 подвешены на двух гибких нерастяжимых нитях, которые навернуты, как указано на рисунке, на барабаны, имеющие радиусы r1 и r2 и насаженные на общую ось; грузы движутся под влиянием силы тяжести. Определить угловое ускорение ε барабанов, пренебрегая их массами и массой нитей.
Ответ: Решение. |
 |
47.4. При условии предыдущей задачи определить угловое ускорение ε и натяжения Т1 и Т2 нитей, принимая во внимание массы барабанов, при следующих данных: M1 = 20 кг, M2 = 34 кг, r1 = 5 см, r2 = 10 см; массы барабанов: малого 4 кг и большого 8 кг. Массы барабанов считать равномерно распределенными по их внешним поверхностям.
Ответ: ε = 49 рад/с2, Т1 = 246 Н, Т2 = 167 Н. Решение.
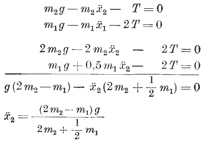
47.5. К системе блоков, изображенной на рисунке, подвешены грузы: M1 массы 10 кг и M2 массы 8 кг. Определить ускорение w2 груза М3 и натяжение нити, пренебрегая массами блоков.
Ответ: w2 = 2,8 м/с2, Т = 56,1 Н. Решение. |
 |
| 47.6. К нижнему шкиву С подъемника приложен вращающий момент M. Определить ускорение груза А массы M1, поднимаемого вверх, если масса противовеса В равна M2, а шкивы С и D радиуса r и массы М3 каждый представляют собой однородные цилиндры, Массой ремня пренебречь. |
 |
| 47.7(47.7). Вал кабестана — механизма для передвижения грузов— радиуса r приводится в движение постоянным вращающим
моментом М, приложенным к рукоятке АВ. Определить ускорение груза С массы M, если коэффициент трения скольжения груза о горизонтальную плоскость равен f. Массой каната и кабестана пренебречь. |
 |
47.8. Решить предыдущую задачу с учетом массы кабестана, момент инерции которого относительно оси вращения равен J.
| 47.9. Груз А массы M1, опускаясь по наклонной гладкой плоскости, расположенной под углом α к горизонту, приводит во вращение посредством нерастяжимой нити барабан В массы M2 и радиуса r. Определить угловое ускорение барабана, если считать барабан однородным круглым цилиндром. Массой неподвижного блока С н нити пренебречь. |  |
47.10. Человек толкает тележку, приложив к ней горизонтальную силу F. Определить ускорение кузова тележки, если масса кузова равна M1, M2 – масса каждого из четырех колес, r – радиус колес, fk — коэффициент трения качения. Колеса считать сплошными круглыми дисками, катящимися по рельсам без скольжения.
| 47.11. Каток А массы M1, скатываясь без скольжения по наклонной плоскости вниз, поднимает посредством нерастяжимой нити, переброшенной через блок В, груз С массы M2. При этом блок В вращается вокруг неподвижной оси О, перпендикулярной его плоскости. Каток А и блок В — однородные круглые диски одинаковой массы и радиуса. Наклонная плоскость образует угол α с горизонтом. Определить ускорение оси катка. Массой нити пренебречь. |
 |
| 47.12. Груз В массы M1 приводит в движение цилиндрический каток А массы M2 и радиуса r при помощи нити, намотанной на каток. Определить ускорение груза В, если каток катится без скольжения, а коэффициент трения качения равен fк. Массой блока D пренебречь. |
 |
| 47.13. Стержень DE массы M1 лежит на трёх катках А, В и С массы M2 каждый. К стержню приложена по горизонтали вправо сила F, приводящая в движение стержень и катки. Скольжение между стержнем и катками и также между катками и горизонтальной плоскостью отсутствует. Найти ускорение стержня DE. Катки считать однородными круглыми цилиндрами. |
 |
47.14. Определить ускорение груза M2, рассмотренного в задаче 47.5, с учетом массы блоков — сплошных однородных дисков массы 4 кг каждый.
Ответ: w2 = 0,7 м/с2.
| 47.15. Груз А массы M1, опускаясь вниз, посредством нерастяжимой нити, переброшенной через неподвижный блок D и намотанной на шкив В, заставляет вал С катиться без скольжения по горизонтальному рельсу. Шкив В радиуса R жестко насажен на вал С радиуса r; их общая масса равна M2, а радиус инерции относительно оси О, перпендикулярной плоскости рисунка, равен ρ. Найти ускорение груза А. Массой нити и блока пренебречь. |
 |
| 47.16. Центробежный регулятор вращается вокруг вертикальной оси с постоянной угловой скоростью ω. Определить угол отклонения стержней ОА и ОВ от вертикали, принимая во внимание только массу М каждого из шаров и массу M1 муфты С, все стержни имеют одинаковую длину l. |
 |
| 47.17. Центробежный регулятор вращается с постоянной угловой скоростью ω. Найти зависимость между угловой скоростью регулятора и углом α отклонения его стержней от вертикали, если муфта массы M1 отжимается вниз пружиной, находящейся при α = 0 в недеформированном состоянии и закрепленной верхним концом на оси регулятора; массы шаров равны M2, длина стержней равна l, оси подвеса стержней отстоят от оси регулятора на расстоянии а; массами стержней н пружины пренебречь. Коэффициент жесткости пружины равен с. |
 |
| 47.18. Центробежный пружинный регулятор состоит из двух грузов А а В массы М каждый, насаженных на скрепленный
со шпинделем регулятора гладкий горизонтальный стержень муфты С массы M1, тяг длины l и пружин, отжимающих грузы к оси вращения; расстояние шарниров тяг от оси шпинделя равно е; с — коэффициент жесткости пружин. Определить угловую скорость регулятора
при угле раствора α, если при угле αo, где αo < α, пружины находятся в ненапряженном состоянии; массой тяг и трением пренебречь. |
 |
47.19. В регуляторе четыре груза одинаковой массы M1 находятся на концах двух равноплечих рычагов длины 2l, которые могут вращаться в плоскости регулятора вокруг конца шпинделя О и образуют с осью шпинделя переменный угол φ. В точке А, нахощейся от конца шпинделя О на расстоянии ОА = а, со шпинделем шарнирно соединены рычаги АВ и АС длины а, которые в точках В и С в свою очередь сочленены со стержнями BD и CD длины a, несущими муфту D. В точках В и С имеются ползунки, скользящие вдоль рычагов, несущих грузы. Масса муфты равна M2. Регулятор вращается с постоянной угловой скоростью ω. Найти связь между углом φ и угловой скоростью ω в равновесном положении регулятора.
Ответ: Равновесное положение регулятора возможно только при независимо от угла φ. |
 |