Лекция 4 |
К содержанию |
- Пара сил и алгебраический момент пары сил.
- Теорема об эквивалентности пар сил, расположенных в одной плоскости.
- Теорема о переносе пары силы в параллельную плоскость.
- Векторный момент пары.
- Теорема о сумме моментов сил пары.
- Сложение пар сил, расположенных в одной плоскости.
- Сложение пар сил, расположенных в пересекающихся плоскостях.
- Условия равновесия пар сил.
Пара сил и алгебраический момент пары сил
Известно, что под действием пары сил свободное твердое тело выходит из равновесия. Обычно пару сил ( F1, F2 ) прилагают к телу, которое должно вращаться, как, например, к маховику вентиля при его закрывании и открывании (смотри рисунок). Поэтому пару сил нельзя заменить одной силой и, следовательно, она не имеет равнодействующей, а является такой системой сил, упростить которую нельзя. Каждая из сил, входящих в состав пары сил, имеет все свойства обычных сил.
Пара сил, действующая на твердое тело, характеризуется прежде всего плоскостью действия, аналогично тому, как сила характеризуется линией действия .
Плоскостью действия пары сил называют плоскость, в которой расположены силы пары.
Для количественной характеристики действия пары сил на твердое и указания направления, в котором пара сил стремится вращать тело в плоскости действия, введем понятие алгебраического момента пары сил.
Алгебраическим моментом пары сил называют взятое со знаком плюс или минус произведение величины одной из сил пары на плечо пары сил.
Плечом пары сил d называют кратчайшее расстояние между линиями действия сил пары.
Алгебраический момент пары обозначим М, или М ( F1, F2 ). Согласно определению
Алгебраический момент пары сил имеет знак плюс, если пара сил стремится вращать тело против движения часовой стрелки, и знак минус, если пара сил стремится вращать тело по движению часовой стрелки.
Алгебраический момент пары сил не зависит от переноса сил пары вдоль своих линий действия и может равняться нулю, если линии действия сил пары совпадают, т. е. в случае двух равных по величине, но противоположных по направлению сил, действующих вдоль одной прямой. Такая система двух сил, как известно, эквивалентна нулю.
Теорема об эквивалентности пар сил, расположенных в одной плоскости
Теорема. Пару сил, действующую на твёрдое тело, можно заменить другой парой сил, расположенной в той же плоскости действия и имеющей одинаковый с первой парой алгебраический момент (смотри рисунок).
Д о к а з а т е л ь с т в о.
Момент пары сил – свободный вектор.
Теорема о переносе пары силы в параллельную плоскость
Доказательство. (смотри рисунок)
{ F1, F2 } ~ { F1, F2 , F1', F1 '', F2', F2''} ~ { R1, R2 , F1', F2''} ~ { F1', F2''} так как | F1 | = | F2 | = | F1' | = | F1'' | = | F2' | = | F2'' | и R1 ~ { F2, F1'' }, R2 ~ { F1, F2' }, { R1, R2 }.
Векторный момент пар
Векторный момент пары сил, действующий на твёрдое тело есть свободный вектор.
Две пары сил, действующих на одно и то же твёрдое тело, эквивалентны, если они имеют одинаковые по величине и направлению векторные моменты,
| M | = h·F1 = h·F2 = SACBD; M = АВ × F2 = ВА × F1, так как | M | = | АВ × F2 | = F2·AB·sin (АВ, F2 ) = F2·h.
Теорема о сумме моментов сил пары
Сложение пар сил, расположенных в одной плоскости
,![]() Пусть заданы пары сил с разными характеристиками. |
![]() Зададим плечо d и определим силы для каждой пары по условию эквивалентности. |
![]() Так как составляющие пар направлены по одной прямой, то они будут эквивалентны одной силе R ' и R, которые равны по величине, лежат на параллельных прямых и направлены в противоположные стороны, то есть образуют пару. |

.
Сложение пар сил, лежащих в пересекающихся плоскостях
M = BA × RA = BA × ( F1 + F2 ) = BA × F1 + BA × F2 = M1 + M2
Последовательно применяя правило параллелограмма к каждым двум векторным моментам пар сил, можно любое количество пар сил в общем случае заменить одной парой сил, векторный момент которой M равен сумме векторных моментов заданных пар сил:
Для пар сил, расположенных в одной плоскости, теорема о их сложении формулируется так: пары сил, действующие на твердое тело и расположенные в одной плоскости, можно привести к одной паре сил, алгебраический момент которой равен сумме алгебраических моментов составляющих пар сил, т. е.
Условия равновесия пар сил
Если слагаемые векторы не лежат в одной плоскости, подсчёт удобно вести аналитически. На основании теоремы о проекциях суммы векторов найдём
Аналитическими условиями равновесия системы пар сил будут Мx = 0, Мy = 0, Мz = 0, или
В общем случае пары сил можно уравновесить только парой сил и нельзя уравновесить одной силой или какой-либо другой системой сил, отличной от пары сил.
Пример 1. Найти нсличипу векторного момента эквивалентной пары сил, которая получается при сложении двух пар сил с моментами М1 = 40 нм и М2 = 30 нм, действующих на одно и то же твердое тело. Пары сил лежат в пересекающихся плоскостях, двугранный угол между которыми равен 60°.
Решение. Складываем по правилу параллелограмма векторные моменты заданных пар сил. Для величины векторного момента эквивалентной пары сил М имеем
,
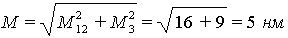
Пример 2. Пары сил М1 = 10 нм и М2 = 6 нм и противоположного направления вращения находятся в параллельных плоскостях. Пара, имеющая М3 = 3 нм, лежит в перпендикулярной плоскости. Найти момент эквивалентной пары сил.
Решение. Сложим сначала алгебраически пары сил, лежащие в параллельных плоскостях. Получим пару сил с моментом М12 = М1 - М2 = 10 - 6 = 4 нм, так как пары сил имеют противоположные знаки. Пару сил с моментом M12 сложим векторно с парой сил, имеющей момент М3. Так как угол между М12 и М3 прямой, то момент эквивалентной пары


