СИСТЕМА ДВУХ УРАВНЕНИЙ ВТОРОЙ СТЕПЕНИ С ДВУМЯ НЕИЗВЕСТНЫМИ

   Такая система может быть представлена в виде
                        (37)
где в каждом уравнении есть коэффициенты при старших степенях неизвестных, отличные от нуля.
   Приведем схему решения такой системы в предположении, что оба уравнения содержат члены с квадратами обоих неизвестных (другие частные случаи будут содержаться в. этой схеме).
   Рассмотрим одно из уравнений, например, уравнение (37-A) как квадратное относительно какого-нибудь неизвестного, например х, принимая при этом другое неизвестное за параметр. Имеем
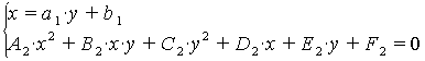
А1х² + (В1y + D1)x + (C1y² + Е1у + F1) = 0.                        (38)
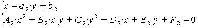
Если это уравнение допускает рациональное выражение х через у (в общем случае два решения) х1 = а1у + b1 и х2 = а2у + b2, то в этом случае система (37) равносильна совокупности двух систем
и
схемы решения которых рассмотрены в § 12. Если ни одно из уравнений (37-A) и (37-В) не допускает рационального выражения х через у, то с помощью уравнений (37-А) и (37-В) исключим квадрат какого-нибудь неизвестного, например х2. С этой целью умножим обе части первого уравнения на A2, а второго на - А1 и сложим. В результате получим уравнение вида
B3 xy + C3 y² + D3 x + Е3 у + F3 = 0,
или
(B3y + D3) x + C3 y2 + E3 y + F3 = 0,                        (39)
где B3, D3, C3, E3, F3 - некоторые новые коэффициенты. Это уравнение совместно с уравнением (37-А) или (37-В) образует систему, равносильную системе (37) (см. § 3). Возможны следующие случаи.
  1. В3 = D3 = 0, т. е. уравнение (39) имеет вид
    C3 y² + E3 y + F3 = 0.                        (39')
    Найдя из этого уравнения значения у и подставляя их в уравнение (37-А) или (37-В), найдем соответствующие значения х. Если уравнение (39') противоречивое (С3 = Е3 = 0, Е3 ≠ 0), то система (37) решений не имеет. Если же (39') - тождество (С3 = Е3 = F3 = 0), то система (37) имеет бесчисленное множество решений. Для их нахождения надо какое-нибудь из уравнений (37-A) или (37-В) решить относительно х (или у) и в полученных формулах для х (для у) считать у - любым (x - любым).
  2. В3 ≠ 0. Тогда проверяем, не удовлетворяет ли уравнению (39) значение у = - D3/B3. Если это значение годится, то соответствующие значения х найдем из уравнений (37-A) или (37-В).
   Чтобы найти остальные решения системы в этом случае, выразим из уравнения (39) неизвестное х через у (считая у ≠ - D3/B3):
                        (40)
Так как в рассматриваемом случае у = - D3/B3 удовлетворяет уравнению (39), а следовательно, обращает в нуль многочлен С3 у2 + E y + F3, то согласно теореме Безу числитель в равенстве (40) делится без остатка на знаменатель. Разделив, получим выражение для х вида
х = ау + b.                        (40')
Подставив х в уравнение (37-A) или (37-В), найдем значения у и затем из равенства (40') соответствующие значения х.
   Если же у = - D3/B3 не удовлетворяет уравнению (39), то из этого уравнения находим выражение х через у в виде (40).
   Подставив его в уравнение (37-A) или (37-В), получим в общем случае уравнение четвертой степени относительно у. Найдя все корни этого уравнения, получим согласно равенству (40) соответствующие им значения х.
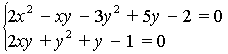
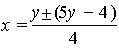
   Пример 1. Решить систему
   Решение. Из первого уравнения имеем
Следовательно, система равносильна совокупности двух систем
  и   
Решая их, находим решения данной системы
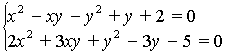
   Пример 2. Решить систему
   Решение. Убеждаемся, что ни из одного уравнения системы x не выражается рационально через у, а значит, и у через х. (Читателю советуем это проверить.)
   Сложив первое уравнение со вторым, получим уравнение, в котором член с у2 отсутствует: Зх2 + 2xy - 2у - 3 = 0, или 2{х - 1) у + 3 (х2- 1) = 0. Очевидно, этому уравнению удовлетворяет х = 1. Соответствующие значения находим, например, из первого уравнения системы. Считая теперь х ≠ 1, из последнего уравнения находим , и подставляя его в первое уравнение системы, получаем х² - 18 x - 7 = 0. Следовательно, и . Таким образом, система имеет решения
.
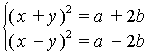
   Рассмотренный метод решения не всегда является самым рациональным в отдельных частных случаях системы (37). Например, систему
                        (37')
иногда удобнее решать следующим приемом: умножить второе уравнение почленно на 2 и затем один раз почленно прибавить к первому уравнению, а другой - вычесть. В результате получим систему, равносильную данной:
  или  
Последняя система равносильна совокупности четырех систем линейных уравнений
Решив эти системы, найдем все решения исходной системы. Систему (37') в случае действительного значения b можно также решить сведением к квадратному уравнению, если заметить, что система (37') равносильна системе
при условии, что произведение ее решений должно по знаку совпадать с b.
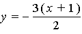
   Пример 3. Решить систему
   Решение. Возводя обе части второго уравнения в квадрат, получим систему
при условии х у < 0. Решая квадратное уравнение z² - 4 z + 3 = 0, находим z1 = 3, z2 = 1. Следовательно, решение системы (; -1), (- ; 1), (1; - ), (- 1; ).
   Отдельные другие приемы решения частных случаев системы (37) рассмотрены в следующей главе.